【药物名称】Disodium pamidronate, Pamidronate sodium, CGP-23339A, AHPrBP, CGP-23339AE(pentahydrate), APD(free acid), IG-7913, Aredia, Aminomux
化学结构式(Chemical Structure):
参考文献No.49584
标题:Arylamine derivs. and their use as anti-telomerase agent
作者:Mailliet, P.; Riou, J.-F.; Laoui, A.; Mergny, J.-L.; Lavelle, F.; Petitgenet, O. (Aventis Pharma SA)
来源:FR 2801588; WO 0140218
合成路线图解说明:

By reaction of beta-alanine (I) with the phosphorous acid and PCl3 in chlorobenzene at 100 C.

合成路线图解说明:

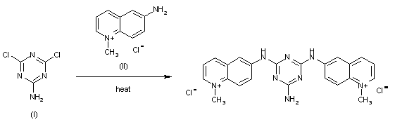
The condensation of 4,6-dichloro-1,3,5-triazin-2-amine (I) with 6-amino-1-methylquinolinium chloride (II) in refluxing ethanol/water gives the target bis quinolinium chloride.

参考文献No.700996
标题:1-Hydroxy-3-aminopropan-1,1-diphosphos鋟re und Verfahren zu deren Herstellung
作者:Krueger, F.; et al.
来源:DE 2130794
合成路线图解说明:

By reaction of beta-alanine (I) with the phosphorous acid and PCl3 in chlorobenzene at 100 C.

Drug Information Express,Drug R&D,Chemical Database,Patent Search.
Copyright © 2006-2026 Drug Future. All rights reserved.Contact Us