【药物名称】Zopiclone, RP-27267, Ximovan, Zimovane, Amoban, Imovane
化学结构式(Chemical Structure):
参考文献No.47006
标题:Pyrrolo-[3,4,b]pyrazine derivatives
作者:Cotrel, C.; et al. (Aventis Pharma SA)
来源:DE 2300491; GB 1358680; JP 52048687; US 3862149
合成路线图解说明:

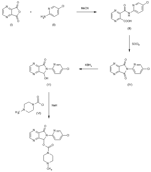
The reaction of pyrazine-2,3-dicarboxylic acid anhydride (I) with 2-amino-5-chloropyridine (II) in refluxing acetonitrile gives 3-(5-chloro-2-pyridyl)carbamoyl pyrazine-2-carboxylic acid (III), which is cyclized by treatment with refluxing SOCl2 affording 6-(5-chloropyrid-2-yl)-5,7-dioxo-5,6-dihydropyrrolo[3,4-b]pyrazine (IV). The partial reduction of (IV) with KBH4 in dioxane-water yields 6-(5-chloro-2-pyridyl)-7-hydroxy-5,6-dihydropyrrolo[3,4-b]pyrazin-5-one (V), which is finally esterified with 4-methylpiperazine-1-carbonyl chloride (VI) by means of NaH in DMF.

合成路线图解说明:

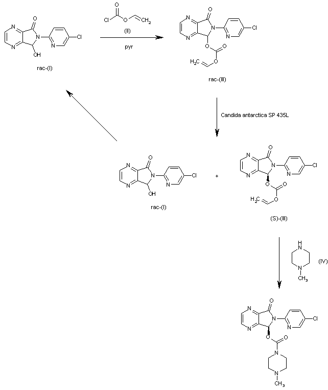
The esterification of (rac)-6-(5-chloro-3-pyridyl)-5-hydroxy-6,7-dihydro-5H-pyrrolo[3,4-b]pyrazin-7-one rac-(I) with vinyl chloroformate (II) in pyridine gives the racemic carbonate rac-(III), which is submitted to an enantioselective hydrolysis with Candida antarctica (SP 435L) lipase in dioxane/benzyl alcohol yielding a mixture of rac-(I), which is recycled, and enantiomerically pure (95% e.e.) (S)-(III). Finally, this compound is condensed with 1-methylpiperazine (IV) in acetone.

合成路线图解说明:

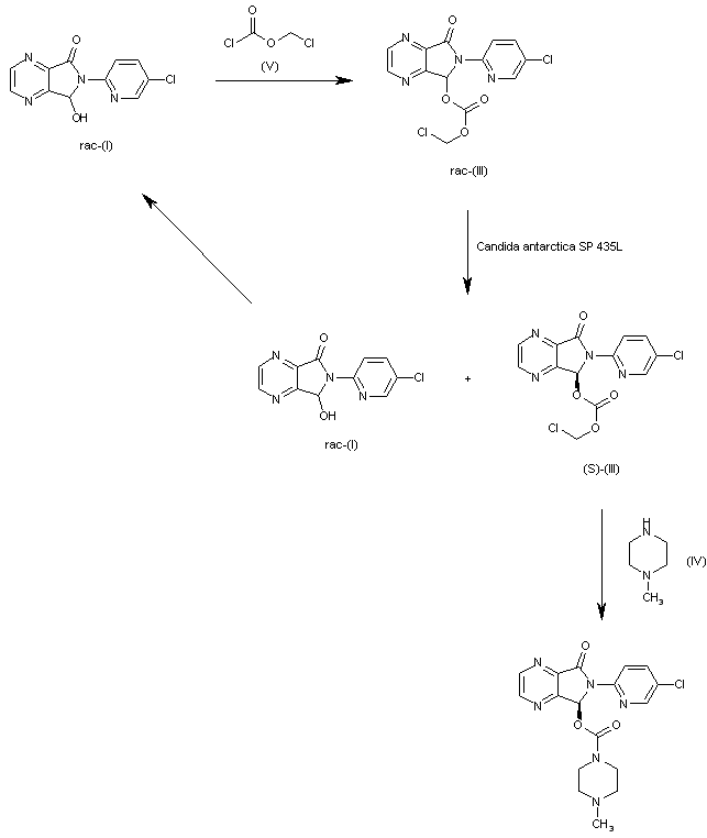
The esterification of (rac)-6-(5-chloro-3-pyridyl)-5-hydroxy-6,7-dihydro-5H-pyrrolo[3,4-b]pyrazin-7-one rac-(I) with chloromethyl chloroformate (V) in pyridine gives the racemic carbonate rac-(III), which is submitted to an enantioselective hydrolysis with Candida antarctica (SP 435L) lipase in dioxane/benzyl alcohol yielding a mixture of rac-(I), which is recycled, and enantiomerically pure (96% e.e.) (S)-(III). Finally, this compound is condensed with 1-methylpiperazine (IV) in acetone.

参考文献No.49580
标题:Zopiclone
作者:Casta馿r, J.; Serradell, M.N.
来源:Drugs Fut 1979,4(1),59
合成路线图解说明:

The reaction of pyrazine-2,3-dicarboxylic acid anhydride (I) with 2-amino-5-chloropyridine (II) in refluxing acetonitrile gives 3-(5-chloro-2-pyridyl)carbamoyl pyrazine-2-carboxylic acid (III), which is cyclized by treatment with refluxing SOCl2 affording 6-(5-chloropyrid-2-yl)-5,7-dioxo-5,6-dihydropyrrolo[3,4-b]pyrazine (IV). The partial reduction of (IV) with KBH4 in dioxane-water yields 6-(5-chloro-2-pyridyl)-7-hydroxy-5,6-dihydropyrrolo[3,4-b]pyrazin-5-one (V), which is finally esterified with 4-methylpiperazine-1-carbonyl chloride (VI) by means of NaH in DMF.

Drug Information Express,Drug R&D,Chemical Database,Patent Search.
Copyright © 2006-2026 Drug Future. All rights reserved.Contact Us