【药物名称】Micinicate, RV-12128, Micivas
化学结构式(Chemical Structure):
参考文献No.9132
标题:New process for preparing cis-3,3,5-trimethylcyclohexyl-D,L-alpha-(3-pyridinecarboxy)-phenylacetate
作者:Verga, A. (Ravizza SpA)
来源:EP 0157151
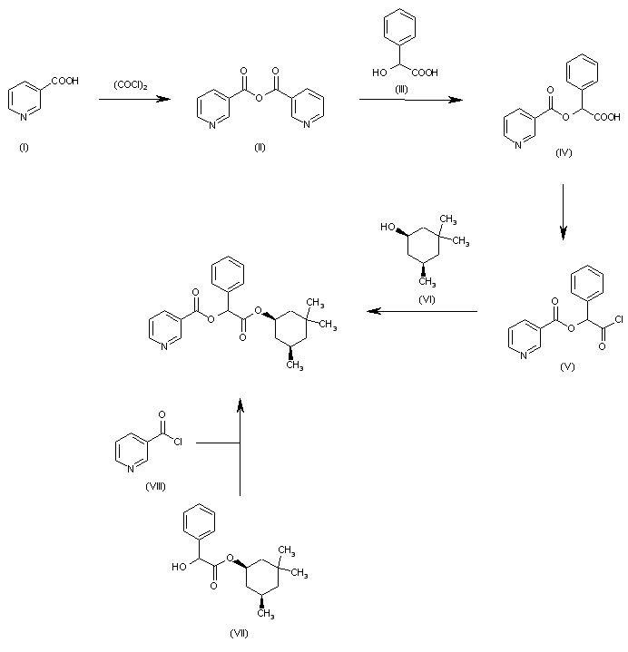
合成路线图解说明:

This compound has been obtained by two related ways: 1) The reaction of the potassium salt of the nicotinic acid with oxalyl chloride in benzene gives the corresponding anhydride (II), which is condensed with 2-hydroxy-2-phenylacetic acid (III) in dioxane to yield the expected ester (IV). The reaction of (IV) with SOCl2 in dichloromethane affords 2-(nicotinoyloxy)-2-phenylacetyl chloride (V), which is finally esterified with the cyclohexanol (VI) in dichloromethane. 2) By acylation of the 2-hydroxy-2-phenylacetic acid cis-3,3,5-trimethylcyclohexyl ester (VII) with nicotinoyl chloride (VIII) in pyridine.

参考文献No.43110
标题:Novel spasmolytic cpd. and process for its preparation
作者:Mauri, F. (Gaver SA)
来源:BE 0824034; DE 2461909; FR 2256757; JP 1975105670
合成路线图解说明:

This compound has been obtained by two related ways: 1) The reaction of the potassium salt of the nicotinic acid with oxalyl chloride in benzene gives the corresponding anhydride (II), which is condensed with 2-hydroxy-2-phenylacetic acid (III) in dioxane to yield the expected ester (IV). The reaction of (IV) with SOCl2 in dichloromethane affords 2-(nicotinoyloxy)-2-phenylacetyl chloride (V), which is finally esterified with the cyclohexanol (VI) in dichloromethane. 2) By acylation of the 2-hydroxy-2-phenylacetic acid cis-3,3,5-trimethylcyclohexyl ester (VII) with nicotinoyl chloride (VIII) in pyridine.

Drug Information Express,Drug R&D,Chemical Database,Patent Search.
Copyright © 2006-2026 Drug Future. All rights reserved.Contact Us