【药物名称】Gestrinone, A-46745, Ru-2323, R-2323, Dimetrose, Nemestran, Dimetriose
化学结构式(Chemical Structure):
参考文献No.49574
标题:R-2323
作者:Casta馿r, J.; Thorpe, P.
来源:Drugs Fut 1977,2(2),131
合成路线图解说明:

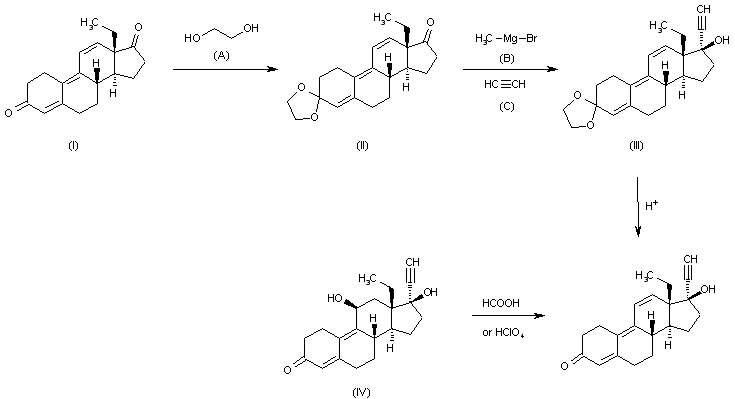
Compound can be prepared in two different ways: 1) By dehydration of 13beta-ethyl-11beta,17beta-dihydroxy-17alpha-ethynyl-gona-4,9-diene-3-one (IV) with 60% formic acid at 100 C or with perchloric acid in methylene chloride containing acetonitrile. 2) The ketalization of 13beta-ethyl-gona-4,9,11-triene-3,17-dione (I) by means of glycol (A) and oxalic acid in dichloroethane affords 3-ethylenedioxy-13beta-ethyl-gona-4,9,11-trien-17-one (II), which is then treated with methylmagnesium bromide (B) and acetylene (C) in THF to yield 3-ethylenedioxy-13beta-ethyl-17beta-hydroxy-17alpha-ethynyl-gona-4,9,11-triene (III). Finally, this compound is hydrolyzed in an acidic medium.

参考文献No.701061
标题:19-Nor-delta(4,9,11)-gonatriene-3-ones
作者:Bertin, D.; Pierdet, A.
来源:DE 1618810; FR 1503984; GB 1128787; US 3484462
合成路线图解说明:

Compound can be prepared in two different ways: 1) By dehydration of 13beta-ethyl-11beta,17beta-dihydroxy-17alpha-ethynyl-gona-4,9-diene-3-one (IV) with 60% formic acid at 100 C or with perchloric acid in methylene chloride containing acetonitrile. 2) The ketalization of 13beta-ethyl-gona-4,9,11-triene-3,17-dione (I) by means of glycol (A) and oxalic acid in dichloroethane affords 3-ethylenedioxy-13beta-ethyl-gona-4,9,11-trien-17-one (II), which is then treated with methylmagnesium bromide (B) and acetylene (C) in THF to yield 3-ethylenedioxy-13beta-ethyl-17beta-hydroxy-17alpha-ethynyl-gona-4,9,11-triene (III). Finally, this compound is hydrolyzed in an acidic medium.

参考文献No.701062
标题:Process for the preparation of unsaturated 19-nor steroids
作者:Bertin, D.; Pierdet, A.
来源:DE 1618815; FR 1479352; GB 1128788; US 3478067
合成路线图解说明:

Compound can be prepared in two different ways: 1) By dehydration of 13beta-ethyl-11beta,17beta-dihydroxy-17alpha-ethynyl-gona-4,9-diene-3-one (IV) with 60% formic acid at 100 C or with perchloric acid in methylene chloride containing acetonitrile. 2) The ketalization of 13beta-ethyl-gona-4,9,11-triene-3,17-dione (I) by means of glycol (A) and oxalic acid in dichloroethane affords 3-ethylenedioxy-13beta-ethyl-gona-4,9,11-trien-17-one (II), which is then treated with methylmagnesium bromide (B) and acetylene (C) in THF to yield 3-ethylenedioxy-13beta-ethyl-17beta-hydroxy-17alpha-ethynyl-gona-4,9,11-triene (III). Finally, this compound is hydrolyzed in an acidic medium.

参考文献No.701063
标题:New Steroid compounds, compositions incorporating them and processes for their preparation
作者:Nomine, G.; et al.
来源:GB 1069709
合成路线图解说明:

Compound can be prepared in two different ways: 1) By dehydration of 13beta-ethyl-11beta,17beta-dihydroxy-17alpha-ethynyl-gona-4,9-diene-3-one (IV) with 60% formic acid at 100 C or with perchloric acid in methylene chloride containing acetonitrile. 2) The ketalization of 13beta-ethyl-gona-4,9,11-triene-3,17-dione (I) by means of glycol (A) and oxalic acid in dichloroethane affords 3-ethylenedioxy-13beta-ethyl-gona-4,9,11-trien-17-one (II), which is then treated with methylmagnesium bromide (B) and acetylene (C) in THF to yield 3-ethylenedioxy-13beta-ethyl-17beta-hydroxy-17alpha-ethynyl-gona-4,9,11-triene (III). Finally, this compound is hydrolyzed in an acidic medium.

参考文献No.701064
标题:Novel 13beta-alkyl-4,9,11-gonatriene-3-ones
作者:Nomine, G.; et al.
来源:DE 1291337; DE 1593307; FR 1426077; FR 1453214; FR 1492782; NL 6607609; US 3248294; US 3257278
合成路线图解说明:

Compound can be prepared in two different ways: 1) By dehydration of 13beta-ethyl-11beta,17beta-dihydroxy-17alpha-ethynyl-gona-4,9-diene-3-one (IV) with 60% formic acid at 100 C or with perchloric acid in methylene chloride containing acetonitrile. 2) The ketalization of 13beta-ethyl-gona-4,9,11-triene-3,17-dione (I) by means of glycol (A) and oxalic acid in dichloroethane affords 3-ethylenedioxy-13beta-ethyl-gona-4,9,11-trien-17-one (II), which is then treated with methylmagnesium bromide (B) and acetylene (C) in THF to yield 3-ethylenedioxy-13beta-ethyl-17beta-hydroxy-17alpha-ethynyl-gona-4,9,11-triene (III). Finally, this compound is hydrolyzed in an acidic medium.

Drug Information Express,Drug R&D,Chemical Database,Patent Search.
Copyright © 2006-2026 Drug Future. All rights reserved.Contact Us