【药物名称】Tilisolol hydrochloride, N-696, Daim, Selecal
化学结构式(Chemical Structure):
参考文献No.46774
标题:Isocarbostyril derivatives
作者:Fukushima, H.; Suzuki, Y. (Nisshin Flour Milling Co., Ltd.)
来源:DE 2631080; GB 1501149; JP 52012178
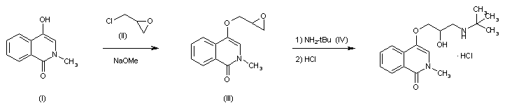
合成路线图解说明:

The condensation of N-methyl-4-hydroxyisocarbostyril (I) with epichlorohydrin (II) by means of sodium methoxide in hot methanol gives 4-(2,3-epoxypropoxy)-N-methylisocarbostyril (III), which is then treated with tert-butylamine (IV) in methanol, and with HCl.

参考文献No.75158
标题:N-696
作者:Serradell, M.N.; Blancafort, P.; Thorpe, P.J.; Casta馿r, J.
来源:Drugs Fut 1982,7(12),889
合成路线图解说明:

The condensation of N-methyl-4-hydroxyisocarbostyril (I) with epichlorohydrin (II) by means of sodium methoxide in hot methanol gives 4-(2,3-epoxypropoxy)-N-methylisocarbostyril (III), which is then treated with tert-butylamine (IV) in methanol, and with HCl.

Drug Information Express,Drug R&D,Chemical Database,Patent Search.
Copyright © 2006-2026 Drug Future. All rights reserved.Contact Us