【药物名称】Carboprostacyclin, Carbacyclin, U-55185
化学结构式(Chemical Structure):
参考文献No.75198
标题:Carbacyclin
作者:Casta馿r, J.; Hillier, K.
来源:Drugs Fut 1981,6(12),753
合成路线图解说明:

The ketalization of cis-bicyclo[3.3.0]octane-3,7-dione (I) with ethylene glycol (A) and p-toluenesulfonic acid gives the diethyleneketal (II), which by controlled hydrolysis with acetic acid-THF-water is converted into the monoketal (III). Carboxylation of (III) with diethyl carbonate by means of NaH yields the ketoester (IV), which is reduced with sodium borohydride in ethanol to afford the hydroxyester (V). Protection of (V) with dimethyl-tert-butylsilyl chloride gives the silylether (VI), which is reduced with diisobutylaluminum hydride to the alcohol (VII). Oxidation of (VII) with pyridinium chlorochromate affords the aIdehyde (VIII), which by a Wittig reaction with the sodium salt of dimethyl 2-oxoheptylphosphonate (IX) is converted into the enone (X). The reduction of (X) with zinc borohydride yields the protected alcohol (XI), which is deprotected to the corresponding dihydroxyketone (XII) by treatment with acetic acid-THF-water. Finally, this compound is submitted to a Wittig reaction with the sodium salt of 4-carboxybutyltriphenylphosphorane (XIII) in DMS.

合成路线图解说明:

The decarboxylative hydrolysis of 2,4-dimethoxycarbonyl-3-(3-phenylpropyl)cyclopentanone (XIV) with HCl in acetic acid gives 4-carboxy-3-(3-phenylpropyl)cyclopentanone (XV), which by reaction with oxalyl chloride (B) is converted into the corresponding acyl chloride (XVI). The Arndt-Eistert carbon homologation in (XVI) with diazomethane and silver benzoate (C) in methanol affords 4-(methoxycarbonylmethyl)-4-(3-phenylpropyl)cyclopentanone (XVIIa), which is dehydrogenated by the sequence of reactions: N-bromosuccinimide and sodium selenofenolate (D) [to obtain intermediates (XVIIb) and (XVIIc), respectively], followed by reaction with hydrogen peroxide to give 4-(methoxycarbonylmethyl)-3-(3-phenylallyl)cyclopentanone (XVIIIa). Oxidation of (XVIIIa) first with osmium tetroxide and then with Jones reagent (CrO3) [to obtain intermediates (XVIIIb) and (XVIIIc), respectively], followed by methylation of (XVIIIc) with CH2N2 affords 3,4-di(methoxycarbonylmethyl)cyclopentanone (XIX), which is ketalized in the usual way to the ketal (XX). Finally, this compound is submitted to a Dieckmann condensation with sodium methoxide in DMS to yield the protected ketoester (IVa), the methyl ester analogue of the compound (IV) obtained in scheme 09083302a. This compound can then be used instead of (IV) in scheme 09083302a.

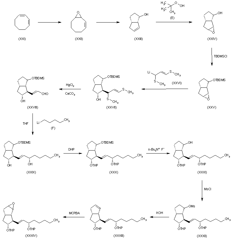
合成路线图解说明:

The controlled epoxidation of 1,3-cyclooctadiene (XXI) gives the monoepoxide (XXII), which by isomerization is converted into the bicyclic alcohol (XXIII). The epoxidation of (XXIII) with tert-butyl hydroperoxide (E) and vanadyl acetylacetonate in refluxing benzene gives the epoxide (XXIV), which is protected with tert-butyldimethylsilyl chloride yielding the corresponding silylether (XXV). The reaction of (XXV) with 1,3-bis(methylthio)allyllithium (XXVI) in THF gives the condensation product (XXVII), which by treatment with HgCl2 and CaCO3 affords the hydroxyaldehyde (XXVIII). The reaction of (XXVIII) with n-amyllithium (F) in THF yields the diol (XXIX), which is protected with dihydropyran giving the bistetrahydropyranyl derivative (XXX). Elimination of the silyl group of (XXX) with tetrabutylammonium fluoride gives rise to the monohydroxybis(tetrahydropyranyl) derivative (XXXI), which is mesylated with methanesulfonyl chloride to the corresponding mesylate (XXXII). The treatment of (XXXII) with KOH in refluxing ethanol yields the diene (XXXIII), which is selectively epoxidized with m-chloroperbenzoic acid to the epoxide (XXXIV).

合成路线图解说明:

Reduction of (XXXIV) with LiAlH4, followed by oxidation with Collins reagent affords the bis(tetrahydropyranyl)ketone (XXXV) (which can also be obtained by reaction of dihydroxyketone (XII) with dihydropyran). The Wittig reaction of (XXXV) with phosphorane (XIII) gives the protected carbacyclin (XXXVI), which is finally deprotected in the usual way.

合成路线图解说明:

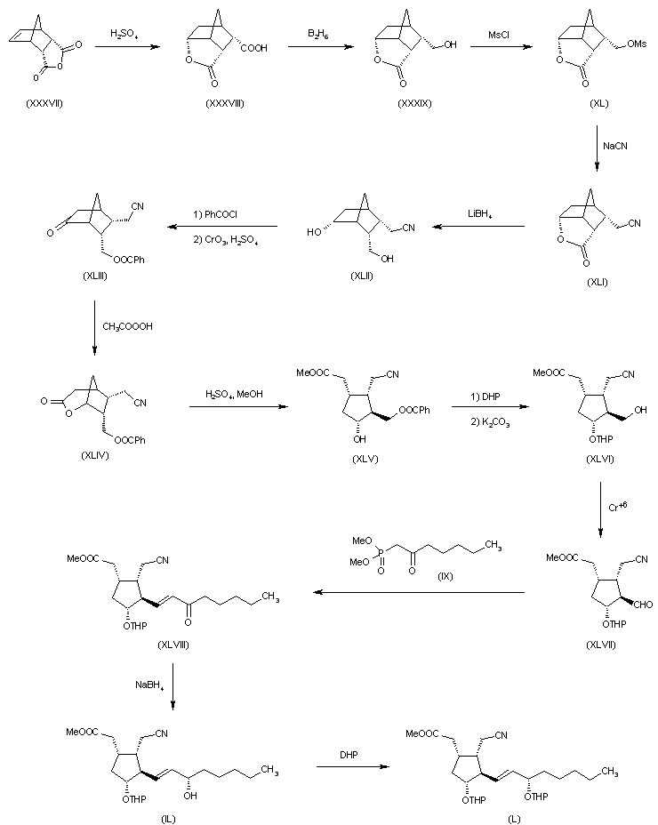
The reaction of 5-norbornen-2,3-dicarboxylic anhydride (XXXVII) with hot H2SO4 gives the lactone (XXXVIII), which is reduced with diborane in THF yielding the hydroxylactone (XXXIX). The mesylation of (XXXIX) as usual gives the ester (XL), which by reaction with NaCN in DMSO is converted into the cyanolactone (XLI). The reduction of the lactone ring with LiBH4 in diglyme affords the dihydroxynitrile (XLII), which by benzoylation and oxidation with Jones reagent yields the benzoylated cyanoketone (XLIII). The oxidation of (XLIII) with peracetic acid gives the benzoylated cyanolactone (XLIV), which by methanolysis with H2SO4 and methanol is converted into the cyanoester (XLV). The protection of the free alcohol of (XLV) with dihydropyran and debenzoylation of the resulting product affords the hydroxymethyl cyanoester (XLVI), which by oxidation with pyridinium chlorochromate is converted into the aldehyde (XLVII). The Wittig reaction of (XLVII) with the phosphonate (IX) yields the ketonic cyanoester (XLVIII), which is reduced with NaBH4 to the corresponding alcohol (XLIX). The reaction of (II) with dihydropyran affords the corresponding bis(tetrahydropyranyl) derivative (L).

合成路线图解说明:

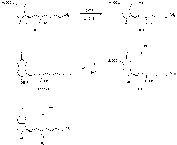
Compound (L) is hydrolyzed with KOH and methylated with diazomethane to yield the diester (LI). The Dieckmann cyclization of (LI) by means of potassium tert-butoxide in THF yields the bicyclic ketoester (LII), which is decarboxylated by treatment with LiI in pyridine yielding the previously obtained bis tetrahydropyranylketone (XXXV). This compound can be deprotected to the dihydroxyketone (XII) with aqueous acetic acid.

合成路线图解说明:

The reaction of 7-oxotricyclo[4.2.0.0(2.4)]octane-3-endo-carboxaldehyde neopentylglycol acetal (LIII) with dimethylsulfonium methylide (G) gives the spiroepoxide (LIV), which by isomerization with LiI in THF yields the tricyclononanone (LV). The reduction of (LV) with NaBH4 in ethanol, followed by acetylation with acetic anhydride in pyridine affords the tricyclic acetate (LVI), which is treated with formic acid to eliminate the acetalic residue and form the free aldehyde (LVII). The Wittig reaction of (LVII) with triphenylhexylidenephosphorane (LVIII) affords the tricyclic acetate (LIX), which is hydrolyzed with base and oxidized with Jones reagent to yield the tricyclic ketone (LX). The oxidation of the double bond of (LX) with 0sO4 gives the diol (LXI), which submitted successively to: triethyl orthopropionate (H) in pyridine, to anhydrous formic acid, to aqueous methanolic K2CO3 and to sodium metaperiodate, is converted into the previously obtained dihydroxyketone (XII). This compound can be used in the preceding syntheses or protected with dimethyltert-butylsilyl chloride to afford the bis(silyl) ether (LXII), which by reaction with the sulfoximine (LXIII), and then with AlHg is converted into the protected trialcohol (LXIV).

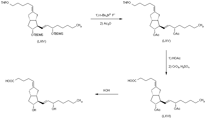
合成路线图解说明:

Selective hydrolysis of the silyl groups of (LXIV), and acetylation with acetic anhydride yields the diacetate (LXV), which is hydrolyzed again selectively with acetic acid, and oxidized with Jones reagent to afford the carbacyclin diacetate (LXVI) Finally, this compound is hydrolyzed with base.

参考文献No.603218
标题:Highly stereocontrolled synthesis of carbacyclin from acyclic starting materials via Ti(II)-mediated tandem cyclization
作者:Okamoto, S.; et al.
来源:J Am Chem Soc 2000,122(45),11244
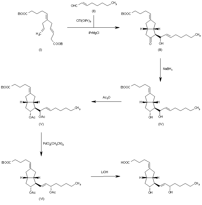
合成路线图解说明:

The cyclization of undecadienedioic acid diethyl ester (I) with 2(E)-octenal (II) by means of ClTi(OiPr)3 gives the pentalenone derivative (III), which is reduced with NaBH4 in methanol, yielding alcohol (IV) after chromatographic purification. The acylation of (IV) with Ac2O and pyridine affords the diacetate (V), which is rearranged with a catalytic amount of PdCl2(CH3CN)2 in THF to provide the diacetate (VI). Finally, this compound is hydrolyzed with LiOH in methanol.

参考文献No.604933
标题:A novel synthesis (?-carbacyclin
作者:Sakai, K.; Amemiya, S.; Kojima, K.
来源:Chem Pharm Bull 1984,32(4),1349-54
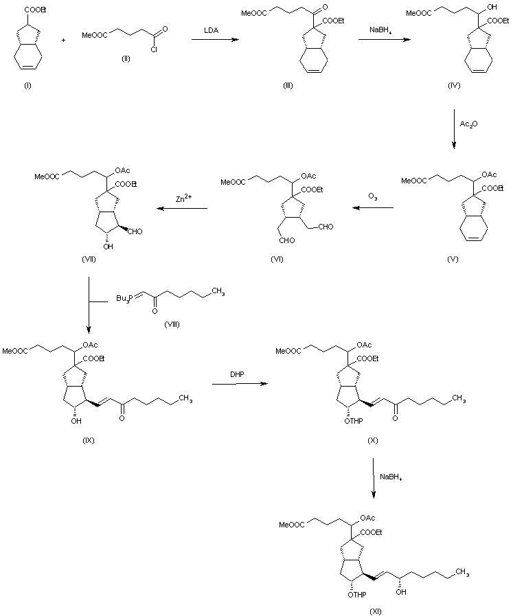
合成路线图解说明:

The condensation of ethyl bicyclo[4.3.0]nona-3-ene-8-carboxylate (I) with methyl 4-chloroformylbutanoate (II) by means of lithium diisopropylamide in THF yields the ketodiester (III), which is reduced with NaBH4 in methanol to the hydroxydiester (IV). Acetylation of (IV) in the usual way affords the acetate (V), which is submitted to ozonolysis with O3 to give the dialdehyde (VI). The intramolecular aldol condensation of (VI) by means of Zn++ yields the desired hydroxyaldehyde (VII), which is submitted to a Horner-Wittig condensation with 2-oxoheptylidenetributylphosphorane (VIII) affording the enone (IX). The protection of the enone (X) with dihydropyran as usual yields the tetrahydropyranylether (X), which is reduced with NaSH4 in methanol to the unsaturated alcohol (Xl).

合成路线图解说明:

The protection of (XI) with dihydropyran as usual affords the bistetrahydropyranylether (XII), which is deacetylated with K2CO3 in methanol to the 5-hydroxyester (XIII). Total hydrolysis of (XIII) with aqueous KOH gives the diacid (XIV), which is submitted to a dehydrative decarboxylation with N,N-dimethylformamide dimethyl acetal (A) in CHCl3 yielding the protected carbacyclin (XV). Finally, this compound is deprotected with aqueous acetic acid and hydrolyzed with KOH.

参考文献No.701371
标题:
作者:Morton, D.R.Jr.
来源:DE 2904655
合成路线图解说明:

The reaction of 7-oxotricyclo[4.2.0.0(2.4)]octane-3-endo-carboxaldehyde neopentylglycol acetal (LIII) with dimethylsulfonium methylide (G) gives the spiroepoxide (LIV), which by isomerization with LiI in THF yields the tricyclononanone (LV). The reduction of (LV) with NaBH4 in ethanol, followed by acetylation with acetic anhydride in pyridine affords the tricyclic acetate (LVI), which is treated with formic acid to eliminate the acetalic residue and form the free aldehyde (LVII). The Wittig reaction of (LVII) with triphenylhexylidenephosphorane (LVIII) affords the tricyclic acetate (LIX), which is hydrolyzed with base and oxidized with Jones reagent to yield the tricyclic ketone (LX). The oxidation of the double bond of (LX) with 0sO4 gives the diol (LXI), which submitted successively to: triethyl orthopropionate (H) in pyridine, to anhydrous formic acid, to aqueous methanolic K2CO3 and to sodium metaperiodate, is converted into the previously obtained dihydroxyketone (XII). This compound can be used in the preceding syntheses or protected with dimethyltert-butylsilyl chloride to afford the bis(silyl) ether (LXII), which by reaction with the sulfoximine (LXIII), and then with AlHg is converted into the protected trialcohol (LXIV).

合成路线图解说明:

Selective hydrolysis of the silyl groups of (LXIV), and acetylation with acetic anhydride yields the diacetate (LXV), which is hydrolyzed again selectively with acetic acid, and oxidized with Jones reagent to afford the carbacyclin diacetate (LXVI) Finally, this compound is hydrolyzed with base.

参考文献No.800450
标题:New synthetic routes to 9(O)-methanopostacyclin. A highly stable and biologically potent analog of prostacyclin
作者:Shibasaki, M.; Ikegami, S.; Ueda, J.
来源:Tetrahedron Lett 1979,(5),433-436
合成路线图解说明:

The ketalization of cis-bicyclo[3.3.0]octane-3,7-dione (I) with ethylene glycol (A) and p-toluenesulfonic acid gives the diethyleneketal (II), which by controlled hydrolysis with acetic acid-THF-water is converted into the monoketal (III). Carboxylation of (III) with diethyl carbonate by means of NaH yields the ketoester (IV), which is reduced with sodium borohydride in ethanol to afford the hydroxyester (V). Protection of (V) with dimethyl-tert-butylsilyl chloride gives the silylether (VI), which is reduced with diisobutylaluminum hydride to the alcohol (VII). Oxidation of (VII) with pyridinium chlorochromate affords the aIdehyde (VIII), which by a Wittig reaction with the sodium salt of dimethyl 2-oxoheptylphosphonate (IX) is converted into the enone (X). The reduction of (X) with zinc borohydride yields the protected alcohol (XI), which is deprotected to the corresponding dihydroxyketone (XII) by treatment with acetic acid-THF-water. Finally, this compound is submitted to a Wittig reaction with the sodium salt of 4-carboxybutyltriphenylphosphorane (XIII) in DMS.

合成路线图解说明:

The controlled epoxidation of 1,3-cyclooctadiene (XXI) gives the monoepoxide (XXII), which by isomerization is converted into the bicyclic alcohol (XXIII). The epoxidation of (XXIII) with tert-butyl hydroperoxide (E) and vanadyl acetylacetonate in refluxing benzene gives the epoxide (XXIV), which is protected with tert-butyldimethylsilyl chloride yielding the corresponding silylether (XXV). The reaction of (XXV) with 1,3-bis(methylthio)allyllithium (XXVI) in THF gives the condensation product (XXVII), which by treatment with HgCl2 and CaCO3 affords the hydroxyaldehyde (XXVIII). The reaction of (XXVIII) with n-amyllithium (F) in THF yields the diol (XXIX), which is protected with dihydropyran giving the bistetrahydropyranyl derivative (XXX). Elimination of the silyl group of (XXX) with tetrabutylammonium fluoride gives rise to the monohydroxybis(tetrahydropyranyl) derivative (XXXI), which is mesylated with methanesulfonyl chloride to the corresponding mesylate (XXXII). The treatment of (XXXII) with KOH in refluxing ethanol yields the diene (XXXIII), which is selectively epoxidized with m-chloroperbenzoic acid to the epoxide (XXXIV).

合成路线图解说明:

Reduction of (XXXIV) with LiAlH4, followed by oxidation with Collins reagent affords the bis(tetrahydropyranyl)ketone (XXXV) (which can also be obtained by reaction of dihydroxyketone (XII) with dihydropyran). The Wittig reaction of (XXXV) with phosphorane (XIII) gives the protected carbacyclin (XXXVI), which is finally deprotected in the usual way.

参考文献No.800451
标题:Synthetic studies on cyclopentane derivatives. Part 10. Stereocontrolled approaches to 9(O)-methanoprostacyclin
作者:Sugie, A.; Katsube, J.; Shimomura, H.; Yamamoto, H.
来源:Tetrahedron Lett 1979,(28),2607-10
合成路线图解说明:

Reduction of (XXXIV) with LiAlH4, followed by oxidation with Collins reagent affords the bis(tetrahydropyranyl)ketone (XXXV) (which can also be obtained by reaction of dihydroxyketone (XII) with dihydropyran). The Wittig reaction of (XXXV) with phosphorane (XIII) gives the protected carbacyclin (XXXVI), which is finally deprotected in the usual way.

合成路线图解说明:

The reaction of 5-norbornen-2,3-dicarboxylic anhydride (XXXVII) with hot H2SO4 gives the lactone (XXXVIII), which is reduced with diborane in THF yielding the hydroxylactone (XXXIX). The mesylation of (XXXIX) as usual gives the ester (XL), which by reaction with NaCN in DMSO is converted into the cyanolactone (XLI). The reduction of the lactone ring with LiBH4 in diglyme affords the dihydroxynitrile (XLII), which by benzoylation and oxidation with Jones reagent yields the benzoylated cyanoketone (XLIII). The oxidation of (XLIII) with peracetic acid gives the benzoylated cyanolactone (XLIV), which by methanolysis with H2SO4 and methanol is converted into the cyanoester (XLV). The protection of the free alcohol of (XLV) with dihydropyran and debenzoylation of the resulting product affords the hydroxymethyl cyanoester (XLVI), which by oxidation with pyridinium chlorochromate is converted into the aldehyde (XLVII). The Wittig reaction of (XLVII) with the phosphonate (IX) yields the ketonic cyanoester (XLVIII), which is reduced with NaBH4 to the corresponding alcohol (XLIX). The reaction of (II) with dihydropyran affords the corresponding bis(tetrahydropyranyl) derivative (L).

合成路线图解说明:

Compound (L) is hydrolyzed with KOH and methylated with diazomethane to yield the diester (LI). The Dieckmann cyclization of (LI) by means of potassium tert-butoxide in THF yields the bicyclic ketoester (LII), which is decarboxylated by treatment with LiI in pyridine yielding the previously obtained bis tetrahydropyranylketone (XXXV). This compound can be deprotected to the dihydroxyketone (XII) with aqueous acetic acid.

参考文献No.800452
标题:Total synthesis of 6a-carboprostaglandin I2 and related isomers
作者:Brokaw, F.C.; Morton, D.R.Jr.
来源:J Org Chem 1979,44(16),2880-87
合成路线图解说明:

The reaction of 7-oxotricyclo[4.2.0.0(2.4)]octane-3-endo-carboxaldehyde neopentylglycol acetal (LIII) with dimethylsulfonium methylide (G) gives the spiroepoxide (LIV), which by isomerization with LiI in THF yields the tricyclononanone (LV). The reduction of (LV) with NaBH4 in ethanol, followed by acetylation with acetic anhydride in pyridine affords the tricyclic acetate (LVI), which is treated with formic acid to eliminate the acetalic residue and form the free aldehyde (LVII). The Wittig reaction of (LVII) with triphenylhexylidenephosphorane (LVIII) affords the tricyclic acetate (LIX), which is hydrolyzed with base and oxidized with Jones reagent to yield the tricyclic ketone (LX). The oxidation of the double bond of (LX) with 0sO4 gives the diol (LXI), which submitted successively to: triethyl orthopropionate (H) in pyridine, to anhydrous formic acid, to aqueous methanolic K2CO3 and to sodium metaperiodate, is converted into the previously obtained dihydroxyketone (XII). This compound can be used in the preceding syntheses or protected with dimethyltert-butylsilyl chloride to afford the bis(silyl) ether (LXII), which by reaction with the sulfoximine (LXIII), and then with AlHg is converted into the protected trialcohol (LXIV).

合成路线图解说明:

Selective hydrolysis of the silyl groups of (LXIV), and acetylation with acetic anhydride yields the diacetate (LXV), which is hydrolyzed again selectively with acetic acid, and oxidized with Jones reagent to afford the carbacyclin diacetate (LXVI) Finally, this compound is hydrolyzed with base.

参考文献No.800543
标题:Total synthesis of carboprostacyclin, a stable and biologically active analog of prostacyclin (PGI2)
作者:Magolda, R.L.; Barnette, W.E.; Nicolaou, K.C.; Seitz, S.; Sipio, W.J.
来源:J Chem Soc Chem Commun 1978,(23),1067-68
合成路线图解说明:

The ketalization of cis-bicyclo[3.3.0]octane-3,7-dione (I) with ethylene glycol (A) and p-toluenesulfonic acid gives the diethyleneketal (II), which by controlled hydrolysis with acetic acid-THF-water is converted into the monoketal (III). Carboxylation of (III) with diethyl carbonate by means of NaH yields the ketoester (IV), which is reduced with sodium borohydride in ethanol to afford the hydroxyester (V). Protection of (V) with dimethyl-tert-butylsilyl chloride gives the silylether (VI), which is reduced with diisobutylaluminum hydride to the alcohol (VII). Oxidation of (VII) with pyridinium chlorochromate affords the aIdehyde (VIII), which by a Wittig reaction with the sodium salt of dimethyl 2-oxoheptylphosphonate (IX) is converted into the enone (X). The reduction of (X) with zinc borohydride yields the protected alcohol (XI), which is deprotected to the corresponding dihydroxyketone (XII) by treatment with acetic acid-THF-water. Finally, this compound is submitted to a Wittig reaction with the sodium salt of 4-carboxybutyltriphenylphosphorane (XIII) in DMS.

参考文献No.800544
标题:Synthetic studies of prostanoids. XVII. Total synthesis of 9(O)-methanoprostacyclin and its isomers
作者:Sakai, K.; Kojima, K.
来源:Tetrahedron Lett 1978,(39),3743-46
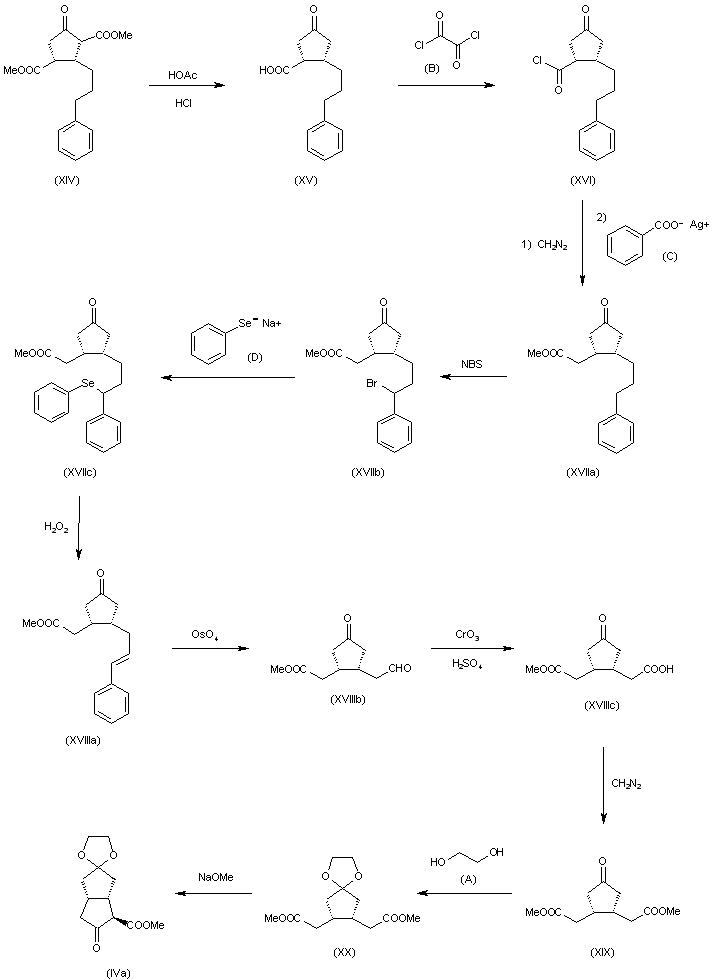
合成路线图解说明:

The decarboxylative hydrolysis of 2,4-dimethoxycarbonyl-3-(3-phenylpropyl)cyclopentanone (XIV) with HCl in acetic acid gives 4-carboxy-3-(3-phenylpropyl)cyclopentanone (XV), which by reaction with oxalyl chloride (B) is converted into the corresponding acyl chloride (XVI). The Arndt-Eistert carbon homologation in (XVI) with diazomethane and silver benzoate (C) in methanol affords 4-(methoxycarbonylmethyl)-4-(3-phenylpropyl)cyclopentanone (XVIIa), which is dehydrogenated by the sequence of reactions: N-bromosuccinimide and sodium selenofenolate (D) [to obtain intermediates (XVIIb) and (XVIIc), respectively], followed by reaction with hydrogen peroxide to give 4-(methoxycarbonylmethyl)-3-(3-phenylallyl)cyclopentanone (XVIIIa). Oxidation of (XVIIIa) first with osmium tetroxide and then with Jones reagent (CrO3) [to obtain intermediates (XVIIIb) and (XVIIIc), respectively], followed by methylation of (XVIIIc) with CH2N2 affords 3,4-di(methoxycarbonylmethyl)cyclopentanone (XIX), which is ketalized in the usual way to the ketal (XX). Finally, this compound is submitted to a Dieckmann condensation with sodium methoxide in DMS to yield the protected ketoester (IVa), the methyl ester analogue of the compound (IV) obtained in scheme 09083302a. This compound can then be used instead of (IV) in scheme 09083302a.

Drug Information Express,Drug R&D,Chemical Database,Patent Search.
Copyright © 2006-2026 Drug Future. All rights reserved.Contact Us