【药物名称】Bisantrene hydrochloride, NSC-337766, ADD, CL-216942, Cyabin, Zantrene
化学结构式(Chemical Structure):
参考文献No.75183
标题:CL-216,942
作者:Hillier, K.; Blancafort, P.; Serradell, M.N.; Casta馿r, J.
来源:Drugs Fut 1981,6(12),762
合成路线图解说明:

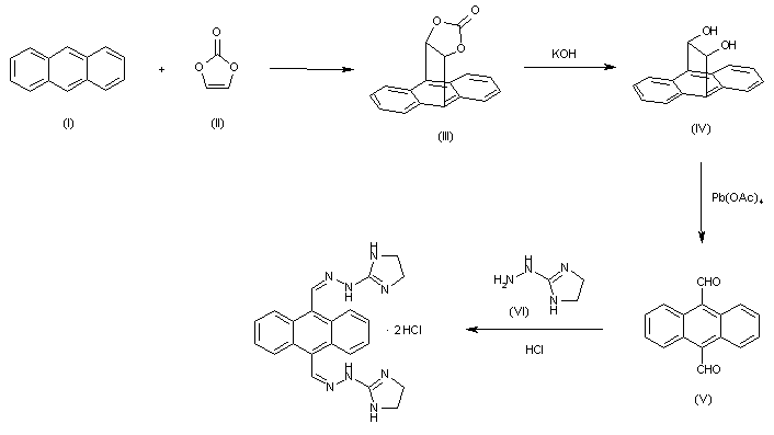
The reaction of anthracene (I) with refluxing vinylene carbonate (II) gives 9,10-dihydro-9,10-ethanoanthracene-11,12-diol cyclic carbonate (III), which is hydrolyzed with KOH in hot ethanol water affording 9,10-dihydro-9,10-ethanoanthracene-11,12-diol (IV). The oxidation of (IV) with lead tetraacetate in acetic acid yields 9,10-anthracenedicarboxaldehyde (V), which is finally condensed with 2-hydrazino-2-imidazoline (VI) by means of HCl in refluxing ethanol.

参考文献No.700874
标题:Novel dihydrobenzanthracene derivatives
作者:Murdock, K.C.; Durr, F.E.; Child, R.G.; Lang, S.A.Jr.; Lee, V.J.; Lin, Y.-I.
来源:DE 2850822; US 4187373; US 4235996
合成路线图解说明:

The reaction of anthracene (I) with refluxing vinylene carbonate (II) gives 9,10-dihydro-9,10-ethanoanthracene-11,12-diol cyclic carbonate (III), which is hydrolyzed with KOH in hot ethanol water affording 9,10-dihydro-9,10-ethanoanthracene-11,12-diol (IV). The oxidation of (IV) with lead tetraacetate in acetic acid yields 9,10-anthracenedicarboxaldehyde (V), which is finally condensed with 2-hydrazino-2-imidazoline (VI) by means of HCl in refluxing ethanol.

Drug Information Express,Drug R&D,Chemical Database,Patent Search.
Copyright © 2006-2026 Drug Future. All rights reserved.Contact Us