【药物名称】Mexiprostil, MDL-646, DL-646
化学结构式(Chemical Structure):
参考文献No.75164
标题:DL-646
作者:Casta馿r, J.; Blancafort, P.; Serradell, M.N.
来源:Drugs Fut 1983,8(12),1018
合成路线图解说明:

The Wittig condensation of methyl 7-(5alpha-acetoxy-2beta-formyl-3alpha-hydroxycyclopent-1-yl)heptanoate (I) with dimethyl 3-mothoxy-3-methyl-2-oxoheptyl phosphonate (II) by means of NaH in dimethoxy ethane gives methyl 9alpha-acetoxy-11alpha-hydroxy-16-methoxy-16-methyl-15-oxoprosta-13-en-1-oate (III), which is treated with dihydropyran and p-toluenesulfonic acid to yield the 11alpha-tetrahydropyranyloxy derivative (IV). The reduction of (IV) with NaBH4 in methanol affords methyl 9alpha-acetoxy-15-hydroxy-16-methoxy-16-methyl-11alpha-(tetrahydropyranyloxy)prosta-13-en-1-oate (IV), which is protected again with dihydropyran as before to give the 11,15-bis(tetrahydropyranyloxy) derivative (VI). The hydrolysis of the acetoxy group of (VI) with K2CO3 in methanol affords methyl 9alpha-hydroxy-16-methoxy-16-methyl-11alpha,15-bis(tetrahydropyranyloxy)prosta-13-en-1-oate (VII), which is oxidized with Collins' reagent (CrO3-pyridine) in methylene chloride yielding methyl 16-methoxy-16-methyl-9-oxo-11alpha,15-bis(tetrahydropyranyloxy)prosta-13-en-1-oate (VIII). Finally, this compound is deprotected by a treatment with acetic acid in THF - water.

参考文献No.78381
标题:A highly convergent synthesis of mexiprostil: 16(R) 16-methoxy 16-methyl PGE1 methyl ester
作者:Kolb, M.; Van Hijfte, L.; Ireland, R.E.
来源:Tetrahedron Lett 1988,29(51),6769
合成路线图解说明:

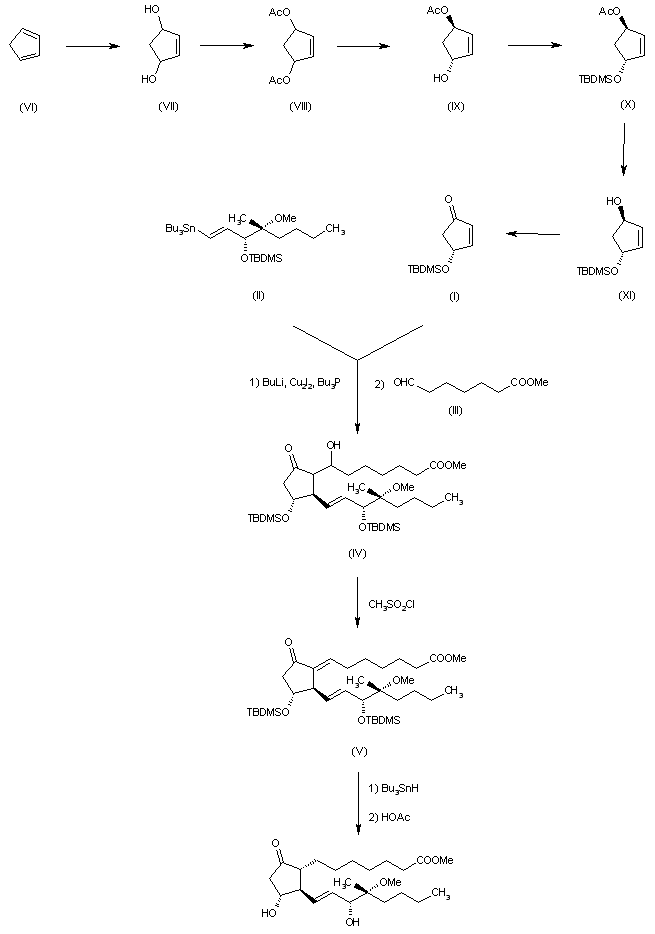
The reaction of 3(R)-(tert-butyldimethylsilyloxy)-4(R)-methoxy-4(R)-methyl-1-(tributylstannyl)-1(E)-octene (II) with butyllithium, cuprous iodide and tributylphosphine gives an intermediate copper derivative which is condensed first with 4(R)-(tert-butyldimethylsilyloxy)-2-cyclopentenone (I) and then with methyl 6-formylhexanoate (III) to give the 7-hydroxy PGE1 derivative (IV). The dehydration of (IV) with mesyl chloride yields the unsaturated PGE compound (V), which is reduced with tributystannyl hydride and finally deprotected with acetic acid in THF. The starting products (I) and (II) are obtained as follows: 1) The oxidation of cyclopentadiene (VI) gives 2-cyclopentene-1,4-diol (VII), which is acetylated to the diacetate (VIII). Selective hydrolysis of (VIII) yields (1S, 4R)-4-hydroxy-2-cyclopentenyl acetate (IX), which is protected with tert-butyldimethylsilyl chloride to the protected acetate (X). Partial hydrolysis of (X) affords the semiprotected alcohol (XI), which is finally oxidized to the cyclopentenone (I).

合成路线图解说明:

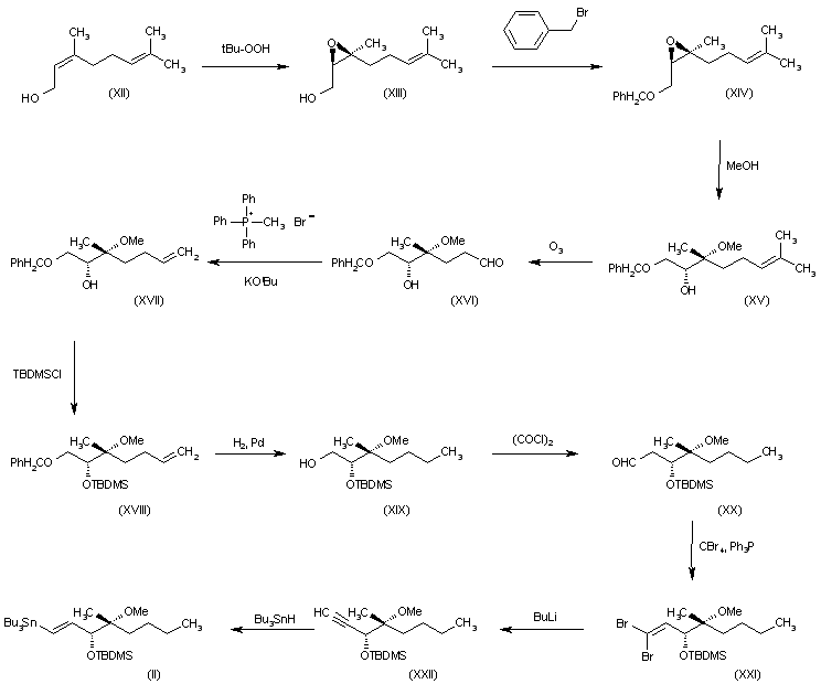
2) The epoxidation of nerol (XII) with tert-butyl peroxide and titanium isopropoxide gives the epoxide (XIII), which is benzylated with benzyl bromide to the protected epoxide (XIV). A stereo- and regioselective cleavage of the epoxide (XIV) with methanol yields the methoxy hydroxy derivative (XV), which is ozonolyzed in methanol dichloromethane to the aldehyde (XVI). The Wittig condensation of (XVI) with triphenylmethylphosphonium bromide and potassium tert-butoxide affords the methylene alcohol (XVII), which is protected with tert-butyldimethylsilyl chloride as before to give silyl derivative (XVIII). The hydrogenation of (XVIII) with H2 over Pd in ethyl acetate yields the saturated alcohol (XIX), which is oxidized with oxalyl chloride in DMSO to the aldehyde (XX).The reaction of (XX) with tetrabromomethane and triphenylphosphine affords the dibromovinyl compound (XXI), which by reaction with butyllithium in THF is converted into the acetylene (XXII). Finally, this compound is treated with tributylstannyl hydride and azobisisobutyronitrile to give the stannyl derivative (II).

参考文献No.701287
标题:
作者:Guzzi, U.; Ciabatti, R.
来源:DE 3012306
合成路线图解说明:

The Wittig condensation of methyl 7-(5alpha-acetoxy-2beta-formyl-3alpha-hydroxycyclopent-1-yl)heptanoate (I) with dimethyl 3-mothoxy-3-methyl-2-oxoheptyl phosphonate (II) by means of NaH in dimethoxy ethane gives methyl 9alpha-acetoxy-11alpha-hydroxy-16-methoxy-16-methyl-15-oxoprosta-13-en-1-oate (III), which is treated with dihydropyran and p-toluenesulfonic acid to yield the 11alpha-tetrahydropyranyloxy derivative (IV). The reduction of (IV) with NaBH4 in methanol affords methyl 9alpha-acetoxy-15-hydroxy-16-methoxy-16-methyl-11alpha-(tetrahydropyranyloxy)prosta-13-en-1-oate (IV), which is protected again with dihydropyran as before to give the 11,15-bis(tetrahydropyranyloxy) derivative (VI). The hydrolysis of the acetoxy group of (VI) with K2CO3 in methanol affords methyl 9alpha-hydroxy-16-methoxy-16-methyl-11alpha,15-bis(tetrahydropyranyloxy)prosta-13-en-1-oate (VII), which is oxidized with Collins' reagent (CrO3-pyridine) in methylene chloride yielding methyl 16-methoxy-16-methyl-9-oxo-11alpha,15-bis(tetrahydropyranyloxy)prosta-13-en-1-oate (VIII). Finally, this compound is deprotected by a treatment with acetic acid in THF - water.

Drug Information Express,Drug R&D,Chemical Database,Patent Search.
Copyright © 2006-2026 Drug Future. All rights reserved.Contact Us