【药物名称】Bifemelane Hydrochloride, BFM-2703, E-0687, MCI-2016, Celeport, Alnert
化学结构式(Chemical Structure):
参考文献No.46997
标题:Process for preparation of 2-(omega-aminoalkyloxy)diphenylmethanes
作者:Kikumoto, R.; et al. (Mitsubishi Chemical Corp.)
来源:JP 52033658
合成路线图解说明:

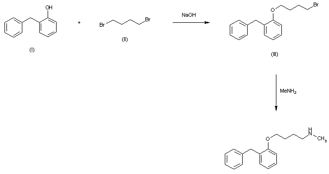
The reaction of 2-hydroxydiphenylmethane (I) with 1,4-dibromobutane (II) in a basic medium affords 2-(4-bromobutoxy)diphenylmethane (III), which is then condensed with methylamine in water - ethanol at room temperature.

参考文献No.49572
标题:MCI-2016
作者:Serradell, M.N.; Blancafort, P.; Casta馿r, J.
来源:Drugs Fut 1980,5(12),611
合成路线图解说明:

The reaction of 2-hydroxydiphenylmethane (I) with 1,4-dibromobutane (II) in a basic medium affords 2-(4-bromobutoxy)diphenylmethane (III), which is then condensed with methylamine in water - ethanol at room temperature.

参考文献No.700923
标题:2-Substituted-1-(omega-aminoalkoxy)benzenes
作者:Kikumoto, R.; et al.
来源:DE 2627227; FR 2315913; NL 7606668
合成路线图解说明:

The reaction of 2-hydroxydiphenylmethane (I) with 1,4-dibromobutane (II) in a basic medium affords 2-(4-bromobutoxy)diphenylmethane (III), which is then condensed with methylamine in water - ethanol at room temperature.

参考文献No.700924
标题:Pharmaceutically active 2-omega-aminoalkoxydiphenylmethanes
作者:Kikumoto, R.; et al.
来源:US 4091114
合成路线图解说明:

The reaction of 2-hydroxydiphenylmethane (I) with 1,4-dibromobutane (II) in a basic medium affords 2-(4-bromobutoxy)diphenylmethane (III), which is then condensed with methylamine in water - ethanol at room temperature.

Drug Information Express,Drug R&D,Chemical Database,Patent Search.
Copyright © 2006-2026 Drug Future. All rights reserved.Contact Us