【药物名称】Wy-45727
化学结构式(Chemical Structure):
参考文献No.60
标题:Fused Heterocyclic compounds
作者:Strike, D.P.; Guy, A.S. (American Home Products Corp.)
来源:EP 0120585; ES 8601979; GB 2137197
合成路线图解说明:

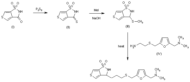
The reaction of thieno[3,4-d]isothiazole-3(2H)-one-1,1-dioxide (I) with P2S5 in hot pyridine gives the corresponding thione (II), which by treatment with methyl iodide and NaOH to refluxing ethanol - water is converted to 3-(methylthio)thieno[3,4-d] isothiazole-1,1-dioxide (III). Finally, this compound is condensed with 2-[5-(dimethylaminomethyl)-2-furanylmethylthio]ethylamine (IV) to refluxing ethanol.

参考文献No.79488
标题:WY-45727
作者:Casta馿r, R.M.; Casta馿r, J.; Serradell, M.N.
来源:Drugs Fut 1987,12(11),1040
合成路线图解说明:

The reaction of thieno[3,4-d]isothiazole-3(2H)-one-1,1-dioxide (I) with P2S5 in hot pyridine gives the corresponding thione (II), which by treatment with methyl iodide and NaOH to refluxing ethanol - water is converted to 3-(methylthio)thieno[3,4-d] isothiazole-1,1-dioxide (III). Finally, this compound is condensed with 2-[5-(dimethylaminomethyl)-2-furanylmethylthio]ethylamine (IV) to refluxing ethanol.

Drug Information Express,Drug R&D,Chemical Database,Patent Search.
Copyright © 2006-2026 Drug Future. All rights reserved.Contact Us