【药物名称】Temelastine, SK&F-93944
化学结构式(Chemical Structure):
参考文献No.46007
标题:Histamine H1-antagonists
作者:Sach, G.S. (SmithKline Beecham plc)
来源:DD 202291; EP 0068833; EP 0068834; JP 58008079; JP 61233616; JP 61233670; US 4444772; US 4486434; US 4535163; US 4584381
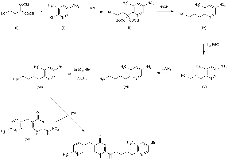
合成路线图解说明:

The condensation of diethyl 2-(2-cyanoethyl)malonate (I) with 2-chloro-3-methyl-5-nitropyridine (II) by means of NaH in refluxing THF gives 4-(3-methyl-5-nitropyrid-2-yl)-4,4-bis(ethoxycarbonyl)butyronitrile (III), which is decarboxylated with NaOH in ethanol water yielding 4-(3-methyl-5-nitropyrid-2-yl)butyronitrile (IV). The reduction of (IV) with H2 over Pd/C in ethanol affords 4-(5-amino-3-methylpyrid-2-yl)butyronitrile (V), which is reduced further with LiAlH4 in ether-THF giving 5-amino-2-(4-aminobutyl)-3-methylpyridine (VI). The Sandmeyer reaction of (VI) with NaNO2, HBr and Cu2Br2 yields 5-bromo-2-(4-aminobutyl)-3-methylpyridine (VII), which is finally condensed with 2-nitroamino-5-(6-methylpyrid-2-ylmethyl)-4-pyrimidone (VIII) in refluxing pyridine.

参考文献No.63626
标题:SKF-93944
作者:Serradell, M.N.; Casta馿r, J.
来源:Drugs Fut 1985,10(3),209
合成路线图解说明:

The condensation of diethyl 2-(2-cyanoethyl)malonate (I) with 2-chloro-3-methyl-5-nitropyridine (II) by means of NaH in refluxing THF gives 4-(3-methyl-5-nitropyrid-2-yl)-4,4-bis(ethoxycarbonyl)butyronitrile (III), which is decarboxylated with NaOH in ethanol water yielding 4-(3-methyl-5-nitropyrid-2-yl)butyronitrile (IV). The reduction of (IV) with H2 over Pd/C in ethanol affords 4-(5-amino-3-methylpyrid-2-yl)butyronitrile (V), which is reduced further with LiAlH4 in ether-THF giving 5-amino-2-(4-aminobutyl)-3-methylpyridine (VI). The Sandmeyer reaction of (VI) with NaNO2, HBr and Cu2Br2 yields 5-bromo-2-(4-aminobutyl)-3-methylpyridine (VII), which is finally condensed with 2-nitroamino-5-(6-methylpyrid-2-ylmethyl)-4-pyrimidone (VIII) in refluxing pyridine.

Drug Information Express,Drug R&D,Chemical Database,Patent Search.
Copyright © 2006-2026 Drug Future. All rights reserved.Contact Us