【药物名称】Binifibrato, Binifibrate, WAC-104, Antopal retard, Biniwas
化学结构式(Chemical Structure):
参考文献No.49565
标题:WAC-104
作者:Casta馿r, J.
来源:Drugs Fut 1979,4(9),681
合成路线图解说明:

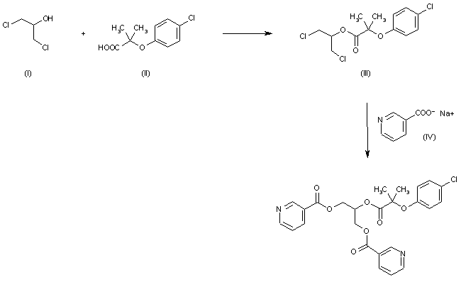
Sterification of 1,3-dichloro-2-propanol (I) with p-chlorophenoxyisobutyric acid (II) forms 1,3-dichloro-2-propanol 2-p-chlorophenoxyisobutirate (III), which, by reaction with the sodium salt of nicotinic acid, is transformed into trihydroxipropane 2-p-chlorophenoxyisobutyrate-1,3-dinicotinate.

参考文献No.900142
标题:Procedimiento para la obtenci髇 de un 閠er mixto sim閠rico del 1,2,3-trihidroxipropano
作者:Andreoli, R.; Cirera, X. (Sociedad Espa駉la de Especialidades Farmaco-Terap閡ticas SA)
来源:ES 463218
合成路线图解说明:

Sterification of 1,3-dichloro-2-propanol (I) with p-chlorophenoxyisobutyric acid (II) forms 1,3-dichloro-2-propanol 2-p-chlorophenoxyisobutirate (III), which, by reaction with the sodium salt of nicotinic acid, is transformed into trihydroxipropane 2-p-chlorophenoxyisobutyrate-1,3-dinicotinate.

Drug Information Express,Drug R&D,Chemical Database,Patent Search.
Copyright © 2006-2026 Drug Future. All rights reserved.Contact Us