【药物名称】Dapiprazole hydrochloride, AF-2139, Remydrial, Rev-Eyes, Reversil, Glamidolo
化学结构式(Chemical Structure):
参考文献No.43423
标题:Cycloalkyltriazoles and process for obtaining same
作者:Silvestrini, B.; Baiocchi, L. (ACRAF SpA)
来源:FR 2423221; GB 2020269; JP 54157576; NL 7902489; US 4252721
合成路线图解说明:

By cyclization of O-methylvalerolactam (I) with 3-(4-o-tolyl-1-piperazinyl) propionic acid hydrazide (II) in refluxing xylene, followed by a treatment with ethanolic HCl.

参考文献No.46555
标题:Cycloalkyltriazoles et leur proc閐?de pr閜aration
作者:Silvestrini, B.; Baiocchi, L. (ACRAF SpA)
来源:BE 0877161
合成路线图解说明:

By cyclization of O-methylvalerolactam (I) with 3-(4-o-tolyl-1-piperazinyl) propionic acid hydrazide (II) in refluxing xylene, followed by a treatment with ethanolic HCl.

参考文献No.49559
标题:Novel process
作者:Nielsen, F.E.; Ebdrup, S. (Novo Nordisk A/S)
来源:WO 0102410
合成路线图解说明:

By cyclization of O-methylvalerolactam (I) with 3-(4-o-tolyl-1-piperazinyl) propionic acid hydrazide (II) in refluxing xylene, followed by a treatment with ethanolic HCl.

合成路线图解说明:

Acylation of (1-methylcyclopropyl)guanidine (IV) with 3-bromo-5-chlorothiophene-2-sulfonyl chloride (III) under Schotten-Baumann conditions afforded the sulfonyl guanidine (V). This was cyclized to the desired thienothiadiazine upon treatment with Cs2CO3 and Cu2O in boiling butanol.

合成路线图解说明:

In a closely related method, guanidine (IV) was sulfonylated with 3,5-dichlorothiophene-2-sulfonyl chloride (VI), and the resultant sulfonylguanidine (VII) was then cyclized in the presence of Cs2CO3 and Cu2O as above.

合成路线图解说明:

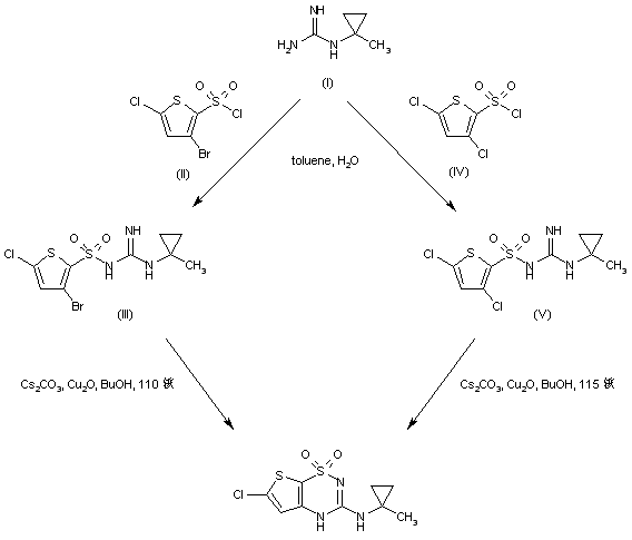
In a different method, (1-methylcyclopropyl)guanidine (I) is acylated by 3-bromo-5-chlorothiophene-2-sulfonyl chloride (II) to produce the sulfonyl guanidine (III). Intramolecular cyclization of (III) in the presence of Cu2O and Cs2CO3 leads to the title thienothiadiazine derivative. Similarly, acylation of guanidine (I) with 3,5-dichlorothiophene-2-sulfonyl chloride (IV) provides sulfonyl guanidine (V), which is then cyclized in the presence of Cu2O and Cs2CO3.

合成路线图解说明:

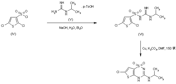
In an alternative method, sulfonylation of N-isopropylguanidine (V) with 2,5-dichlorothiophene-3-sulfonyl chloride (IV) produced the sulfonyl guanidine (VI). This was then cyclized to the title compound by treatment with copper bronze and potassium carbonate in boiling DMF.

参考文献No.49562
标题:
作者:
来源:Drug Data Rep 1982,465
合成路线图解说明:

By cyclization of O-methylvalerolactam (I) with 3-(4-o-tolyl-1-piperazinyl) propionic acid hydrazide (II) in refluxing xylene, followed by a treatment with ethanolic HCl.

Drug Information Express,Drug R&D,Chemical Database,Patent Search.
Copyright © 2006-2026 Drug Future. All rights reserved.Contact Us