【药物名称】Pentisomide, Penticainide, ME-3202, CM-7857
化学结构式(Chemical Structure):
参考文献No.75174
标题:CM-7857
作者:Blancafort, P.; Casta馿r, J.; Serradell, M.N.
来源:Drugs Fut 1983,8(12),1016
合成路线图解说明:

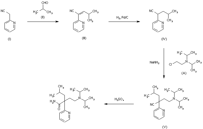
The condensation of 2-pyridylacetonitrile (I) with isobutyraldehyde (II) in refluxing benzene gives 4-methyl-2-(2-pyridyl)-2-pentenenitrile (III), which is hydrogenated over Pd/C yielding 4-methyl-2-(2-pyridyl)pentanenitrile (IV). The alkylation of (IV) with 2-(diisopropylamino)ethyl chloride (A) in DMF affords 2-[2-(diisopropylamino)ethyl]-4-methyl-2-(2-pyridyl)pentanenitrile (V), which is then hydrolyzed in concentrated sulfuric acid.

参考文献No.607681
标题:Synthesis and antiarrhythmic activity of new (dialkylamino)alkylpyridylacetamides
作者:Bernhart, C.A.; Condamine, C.; Demarne, H.; Roncucci, R.; Gagnol, J.P.; Gautier, P.; Serre, M.
来源:J Med Chem 1983,26(3),451
合成路线图解说明:

The condensation of 2-pyridylacetonitrile (I) with isobutyraldehyde (II) in refluxing benzene gives 4-methyl-2-(2-pyridyl)-2-pentenenitrile (III), which is hydrogenated over Pd/C yielding 4-methyl-2-(2-pyridyl)pentanenitrile (IV). The alkylation of (IV) with 2-(diisopropylamino)ethyl chloride (A) in DMF affords 2-[2-(diisopropylamino)ethyl]-4-methyl-2-(2-pyridyl)pentanenitrile (V), which is then hydrolyzed in concentrated sulfuric acid.

参考文献No.701288
标题:
作者:
来源:EP 0027412
合成路线图解说明:

The condensation of 2-pyridylacetonitrile (I) with isobutyraldehyde (II) in refluxing benzene gives 4-methyl-2-(2-pyridyl)-2-pentenenitrile (III), which is hydrogenated over Pd/C yielding 4-methyl-2-(2-pyridyl)pentanenitrile (IV). The alkylation of (IV) with 2-(diisopropylamino)ethyl chloride (A) in DMF affords 2-[2-(diisopropylamino)ethyl]-4-methyl-2-(2-pyridyl)pentanenitrile (V), which is then hydrolyzed in concentrated sulfuric acid.

Drug Information Express,Drug R&D,Chemical Database,Patent Search.
Copyright © 2006-2026 Drug Future. All rights reserved.Contact Us