【药物名称】Glunicate, LG-13979
化学结构式(Chemical Structure):
参考文献No.75187
标题:Glunicate
作者:Subissi, A.
来源:Drugs Fut 1984,9(12),898
合成路线图解说明:

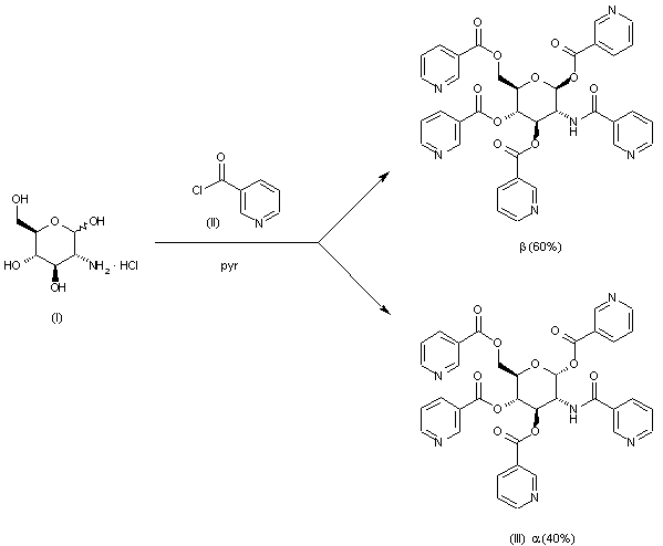
Reaction of D-(+)-glucosamine HCl, with six equivalents of 3-pyridinylcarbonyl chloride (III) in hot pyridine gives a mixture of alpha and beta-penta-substituted D-(+)-glucosamines and lower substituted D-(+)-glucosamines, from which compound (III) is isolated by crystallization.

参考文献No.701187
标题:Nicotinic derivatives of glucosamine and related pharmaceutical compositions
作者:Murmann, W.; Ponchiroli, O.
来源:EP 0040433; ES 8203362; FR 2482968; US 4358441
合成路线图解说明:

Reaction of D-(+)-glucosamine HCl, with six equivalents of 3-pyridinylcarbonyl chloride (III) in hot pyridine gives a mixture of alpha and beta-penta-substituted D-(+)-glucosamines and lower substituted D-(+)-glucosamines, from which compound (III) is isolated by crystallization.

Drug Information Express,Drug R&D,Chemical Database,Patent Search.
Copyright © 2006-2026 Drug Future. All rights reserved.Contact Us