【药物名称】Fentiapril, Rentiapril, DE-040, SA-446
化学结构式(Chemical Structure):
参考文献No.62037
标题:SA-446
作者:Sneddon, J.M.; Casta馿r, J.; Blancafort, P.; Serradell, M.N.
来源:Drugs Fut 1983,8(1),36
合成路线图解说明:

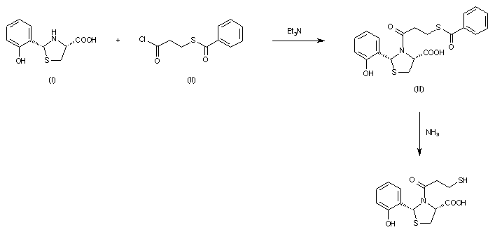
The condensation of 2-(2-hydroxyphenyl)-4-thiazolidinecarboxylic acid (I) with S-benzoyl-3-mercaptopropanoyl chloride (II) by means of triethylamine in acetone gives 3-(S-benzoyl-3-mercaptopropanoyl)-2-(2-hydroxyphenyl)-4-thiazolidinecarboxylic acid (III), which is debenzylated by a treatment with NH3.

参考文献No.701214
标题:
作者:
来源:BE 0875365
合成路线图解说明:

The condensation of 2-(2-hydroxyphenyl)-4-thiazolidinecarboxylic acid (I) with S-benzoyl-3-mercaptopropanoyl chloride (II) by means of triethylamine in acetone gives 3-(S-benzoyl-3-mercaptopropanoyl)-2-(2-hydroxyphenyl)-4-thiazolidinecarboxylic acid (III), which is debenzylated by a treatment with NH3.

Drug Information Express,Drug R&D,Chemical Database,Patent Search.
Copyright © 2006-2026 Drug Future. All rights reserved.Contact Us