【药物名称】Recainam, Wy-42362
化学结构式(Chemical Structure):
参考文献No.46041
标题:Urea derivatives, processes for preparing them and compositions containing them
作者:Sulkowski, T.S.; Bergey, J.L.; Mascitti, A.A. (American Home Products Corp.)
来源:EP 0007184; GB 2025406; JP 80500480; US 4224242
合成路线图解说明:

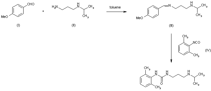
The reaction of p-anisaldehyde (I) with N-isopropyl-1,3-diaminopropane (II) in refluxing toluene gives N-anisylidene-N'-isopropyl-1,3-diaminopropane (III), which is then condensed with 2,6-dimethylphenylisocyanate (IV) in refluxing dichloromethane.

参考文献No.62059
标题:WY-42362
作者:Serradell, M.N.; Casta馿r, J.; Bad韆, A.
来源:Drugs Fut 1984,9(1),38
合成路线图解说明:

The reaction of p-anisaldehyde (I) with N-isopropyl-1,3-diaminopropane (II) in refluxing toluene gives N-anisylidene-N'-isopropyl-1,3-diaminopropane (III), which is then condensed with 2,6-dimethylphenylisocyanate (IV) in refluxing dichloromethane.

Drug Information Express,Drug R&D,Chemical Database,Patent Search.
Copyright © 2006-2026 Drug Future. All rights reserved.Contact Us