【药物名称】Moxonidine hydrochloride hydrate, LY-326869, BE-5895, BDF-5895, Norcynt, Nucynt, Moxon, Normoxin, Physiotens, Lomox, Cynt
化学结构式(Chemical Structure):
参考文献No.40321
标题:Novel remedy for peptic ulcer
作者:Mutsumi, M. (Nippon Chemiphar Co., Ltd.)
来源:JP 1982075920
合成路线图解说明:

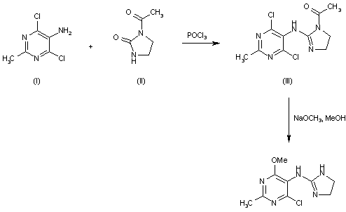
The condensation of 5-amino 2 methyl 4,6-dichloropyrimidine (I) with 1-acetyl-2-imidazolin-2-one (II) by means of POCl3 at 50 C gives 4,6-dichloro-2-methyl-5-(1-acetyl-2-imidazolin-2-ylamino)pyrimidine (III), which is then methoxylated and desacetylated by treatment with sodium methoxide in refluxing methanol.

参考文献No.67217
标题:Moxonidine hydrochloride
作者:Mannhold, R.
来源:Drugs Fut 1987,12(6),553
合成路线图解说明:

The condensation of 5-amino 2 methyl 4,6-dichloropyrimidine (I) with 1-acetyl-2-imidazolin-2-one (II) by means of POCl3 at 50 C gives 4,6-dichloro-2-methyl-5-(1-acetyl-2-imidazolin-2-ylamino)pyrimidine (III), which is then methoxylated and desacetylated by treatment with sodium methoxide in refluxing methanol.

Drug Information Express,Drug R&D,Chemical Database,Patent Search.
Copyright © 2006-2026 Drug Future. All rights reserved.Contact Us