【药物名称】Nefazodone hydrochloride, MJ-13754-1, BMY-13754-1, Rulivan, Reseril, Menfazona, Nefadar, Dutonin, Serzone
化学结构式(Chemical Structure):
参考文献No.77469
标题:Nefazodone Hydochloride
作者:Eison, M.S.; Smith, D.W.; Madding, G.D.; Taylor, D.P.
来源:Drugs Fut 1987,12(8),758
合成路线图解说明:

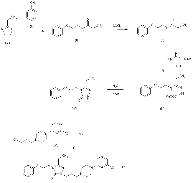
Reaction of 2-ethyloxazoline (A) with phenol (B) affords the propionamide (I). Treatment of (I) with phosgene yields the imino chloride (II), which is reacted with methylcarbazate to provide the amidrazone (III). Cyclodehydration of (III) gives the triazolone (IV). Alkylation of (IV) with 1-(3-chlorophenyl)-4-(3-chloropropyl) piperazine affords nefazodone, which is isolated as the hydrochloride salt.

参考文献No.700474
标题:
作者:Fathi, N.H.; et al.
来源:J Heterocycl Chem 1985,22(10),1121
合成路线图解说明:

Reaction of 2-ethyloxazoline (A) with phenol (B) affords the propionamide (I). Treatment of (I) with phosgene yields the imino chloride (II), which is reacted with methylcarbazate to provide the amidrazone (III). Cyclodehydration of (III) gives the triazolone (IV). Alkylation of (IV) with 1-(3-chlorophenyl)-4-(3-chloropropyl) piperazine affords nefazodone, which is isolated as the hydrochloride salt.

Drug Information Express,Drug R&D,Chemical Database,Patent Search.
Copyright © 2006-2026 Drug Future. All rights reserved.Contact Us