【药物名称】Sch-28080
化学结构式(Chemical Structure):
参考文献No.61920
标题:SCH-28,080
作者:Hillier, K.; Serradell, M.N.; Casta馿r, J.; Blancafort, P.
来源:Drugs Fut 1982,7(10),755
合成路线图解说明:

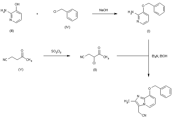
By cyclization of 2-amino-3-benzyloxypyridine (I) with 3-chloro-4-oxopentanonitrile (II) by means of thiethylamine in ethanol. Compound (I) is prepared by benzylation of 2-amino-3-hydroxypyridine (III) with benzyl chloride (IV) by means of NaOH in water-CH2Cl2. Compound (II) is prepared by chlorination of 4-oxopentanonitrile (V) with SO2Cl2 in ether.

参考文献No.701339
标题:
作者:Puchalski, C.; Bristol, J.A.
来源:EP 0033094
合成路线图解说明:

By cyclization of 2-amino-3-benzyloxypyridine (I) with 3-chloro-4-oxopentanonitrile (II) by means of thiethylamine in ethanol. Compound (I) is prepared by benzylation of 2-amino-3-hydroxypyridine (III) with benzyl chloride (IV) by means of NaOH in water-CH2Cl2. Compound (II) is prepared by chlorination of 4-oxopentanonitrile (V) with SO2Cl2 in ether.

Drug Information Express,Drug R&D,Chemical Database,Patent Search.
Copyright © 2006-2026 Drug Future. All rights reserved.Contact Us