【药物名称】Nabutan hyrochloride(former USAN), Nabitan hydrochloride(Prop INNM, USAN), SP-106, Abbott-4056, NIB, BPP
化学结构式(Chemical Structure):
参考文献No.71689
标题:Nabitan Hydrochloride
作者:Casta馿r, J.; Paton, D.M.
来源:Drugs Fut 1980,5(9),439
合成路线图解说明:

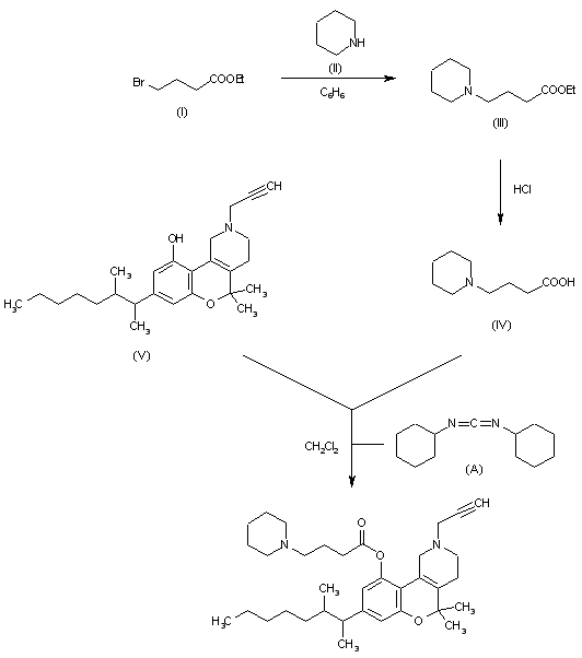
Ethyl 4-bromobutyrate (I) is condensed with piperidine (II) in refluxing benzene to give ethyl 4-(1-piperidyl)butyrate (III), which is hydrolyzed with refluxing aqueous HCl to 4-(1-piperidyl)butyric acid (IV) . Finally, this acid is esterified with 5,5-dimethyl-8-(3-methyl-2-octyl)-10-hydroxy-2-(2-propynyl)-1,2,3,4-tetrahydro-5H[1]benzopyrano[3,4-d]pyridine (V) by means of dicyclohexylcarbodiimide (A) in methylene chloride.

参考文献No.607173
标题:Drugs derived from cannabinoids. 2. Basic esters of nitrogen and carboxylic analogs
作者:Razdan, R.K.; Terris, B.Z.; Pars, H.G.; Plotnikoff, N.P.; Dodge, P.W.; Dren, A.T.; Kyncl, J.; Somani, P.
来源:J Med Chem 1976,19(4),454-461
合成路线图解说明:

Ethyl 4-bromobutyrate (I) is condensed with piperidine (II) in refluxing benzene to give ethyl 4-(1-piperidyl)butyrate (III), which is hydrolyzed with refluxing aqueous HCl to 4-(1-piperidyl)butyric acid (IV) . Finally, this acid is esterified with 5,5-dimethyl-8-(3-methyl-2-octyl)-10-hydroxy-2-(2-propynyl)-1,2,3,4-tetrahydro-5H[1]benzopyrano[3,4-d]pyridine (V) by means of dicyclohexylcarbodiimide (A) in methylene chloride.

参考文献No.701420
标题:
作者:Dren, A.T.; Ebert, D.M.
来源:US 4025630
合成路线图解说明:

Ethyl 4-bromobutyrate (I) is condensed with piperidine (II) in refluxing benzene to give ethyl 4-(1-piperidyl)butyrate (III), which is hydrolyzed with refluxing aqueous HCl to 4-(1-piperidyl)butyric acid (IV) . Finally, this acid is esterified with 5,5-dimethyl-8-(3-methyl-2-octyl)-10-hydroxy-2-(2-propynyl)-1,2,3,4-tetrahydro-5H[1]benzopyrano[3,4-d]pyridine (V) by means of dicyclohexylcarbodiimide (A) in methylene chloride.

Drug Information Express,Drug R&D,Chemical Database,Patent Search.
Copyright © 2006-2026 Drug Future. All rights reserved.Contact Us