【药物名称】Covidarabine, Deoxycoformycin, Pentostatin, CL-67310465, PD-81565, YK-176, CI-825, NSC-218321, Coforin, Oncopent, Nipent
化学结构式(Chemical Structure):
参考文献No.62521
标题:2-Amino-1-(5-amino-1H-imidazol-4-yl)ethanone and method of preparation
作者:Baker, D.C.; Putt, S.R. (Pfizer Inc.)
来源:DE 2835144; ES 472478; ES 479618; GB 2005661; GB 2013680; US 4117229
合成路线图解说明:

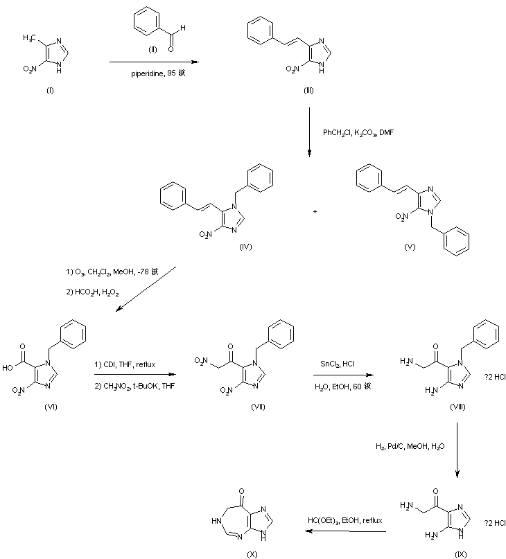
4-Methyl-5-nitroimidazole (I) is condensed with benzaldehyde (II) in the presence of piperidine to produce the 4-styryl imidazole (III). Alkylation of imidazole (III) with benzyl chloride leads to a 3:1 mixture of regioisomeric N-benzyl imidazoles (IV) and (V). Ozonolysis of this mixture, followed by oxidative work-up of the ozonide with performic acid, allows isolation of the desired imidazolecarboxylic acid (VI) by employing a differential precipitation technique. Activation of acid (VI) with CDI, and further treatment of the resultant imidazolide with potassium methanenitronate gives rise to nitro ketone (VII). Both nitro groups of (VII) are then reduced by SnCl2 in concentrated HCl to furnish diamine (VIII). Then, removal of the N-benzyl group of (VIII) by catalytic hydrogenation over Pd/C yields imidazole (IX). Ring closure of (IX) in the presence of triethyl orthoformate produces the imidazodiazepinone (X)

合成路线图解说明:

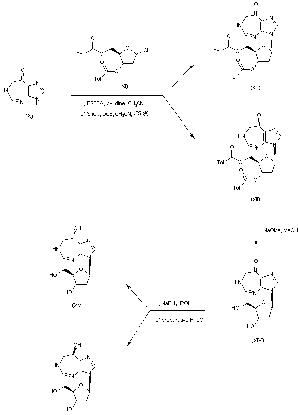
After silylation of the imidazodiazepinone (X) employing bis(trimethylsilyl)trifluoroacetamide, glycosylation with 2-deoxy-3,5-di-p-toluoyl-D-erythro-pentofuranosyl chloride (XI) leads to a mixture of glycoside anomers (XII) and (XIII), from which the desired beta-anomer (XII) can be isolated by either column chromatography or by fractional crystallization. The toluoyl ester groups of (XII) are then removed by methanolysis in the presence of NaOMe to afford (XIV). Finally, reduction of ketone (XIV) gives rise to a 60:40 mixture of the target (R)-hydroxy imidazodiazepine along with its (S)-epimer (XV), which are separated by reverse-phase preparative HPLC

参考文献No.62522
标题:Imidazole cpds., methods for their production and conversion of said cpds. into (R)-3-(2-deoxy-beta-D-erythro-pentofuranosyl)-3,6,7,8-tetrahydroimidazol[4,5-d][1,3]diazepin-8-ol
作者:Baker, D.C.; Putt, S.R. (Pfizer Inc.)
来源:US 4195176
合成路线图解说明:

4-Methyl-5-nitroimidazole (I) is condensed with benzaldehyde (II) in the presence of piperidine to produce the 4-styryl imidazole (III). Alkylation of imidazole (III) with benzyl chloride leads to a 3:1 mixture of regioisomeric N-benzyl imidazoles (IV) and (V). Ozonolysis of this mixture, followed by oxidative work-up of the ozonide with performic acid, allows isolation of the desired imidazolecarboxylic acid (VI) by employing a differential precipitation technique. Activation of acid (VI) with CDI, and further treatment of the resultant imidazolide with potassium methanenitronate gives rise to nitro ketone (VII). Both nitro groups of (VII) are then reduced by SnCl2 in concentrated HCl to furnish diamine (VIII). Then, removal of the N-benzyl group of (VIII) by catalytic hydrogenation over Pd/C yields imidazole (IX). Ring closure of (IX) in the presence of triethyl orthoformate produces the imidazodiazepinone (X)

合成路线图解说明:

After silylation of the imidazodiazepinone (X) employing bis(trimethylsilyl)trifluoroacetamide, glycosylation with 2-deoxy-3,5-di-p-toluoyl-D-erythro-pentofuranosyl chloride (XI) leads to a mixture of glycoside anomers (XII) and (XIII), from which the desired beta-anomer (XII) can be isolated by either column chromatography or by fractional crystallization. The toluoyl ester groups of (XII) are then removed by methanolysis in the presence of NaOMe to afford (XIV). Finally, reduction of ketone (XIV) gives rise to a 60:40 mixture of the target (R)-hydroxy imidazodiazepine along with its (S)-epimer (XV), which are separated by reverse-phase preparative HPLC

参考文献No.732974
标题:A total synthesis of pentostatin, the potent inhibitor of adenosine deaminase
作者:Baker, D.C.; Putt, S.R.
来源:J Am Chem Soc 1979,101(20),6127
合成路线图解说明:

4-Methyl-5-nitroimidazole (I) is condensed with benzaldehyde (II) in the presence of piperidine to produce the 4-styryl imidazole (III). Alkylation of imidazole (III) with benzyl chloride leads to a 3:1 mixture of regioisomeric N-benzyl imidazoles (IV) and (V). Ozonolysis of this mixture, followed by oxidative work-up of the ozonide with performic acid, allows isolation of the desired imidazolecarboxylic acid (VI) by employing a differential precipitation technique. Activation of acid (VI) with CDI, and further treatment of the resultant imidazolide with potassium methanenitronate gives rise to nitro ketone (VII). Both nitro groups of (VII) are then reduced by SnCl2 in concentrated HCl to furnish diamine (VIII). Then, removal of the N-benzyl group of (VIII) by catalytic hydrogenation over Pd/C yields imidazole (IX). Ring closure of (IX) in the presence of triethyl orthoformate produces the imidazodiazepinone (X)

合成路线图解说明:

After silylation of the imidazodiazepinone (X) employing bis(trimethylsilyl)trifluoroacetamide, glycosylation with 2-deoxy-3,5-di-p-toluoyl-D-erythro-pentofuranosyl chloride (XI) leads to a mixture of glycoside anomers (XII) and (XIII), from which the desired beta-anomer (XII) can be isolated by either column chromatography or by fractional crystallization. The toluoyl ester groups of (XII) are then removed by methanolysis in the presence of NaOMe to afford (XIV). Finally, reduction of ketone (XIV) gives rise to a 60:40 mixture of the target (R)-hydroxy imidazodiazepine along with its (S)-epimer (XV), which are separated by reverse-phase preparative HPLC

参考文献No.732975
标题:Total synthesis of (8R)-3-(2-deoxy-beta-D-erythro-pentofuranosyl)-3,6,7,8-tetrahydroimidazo[4,5-d][1,3]diazepin-8-ol (pentostatin), the potent inhibitor of adenosine deaminase
作者:Chan, E.; et al.
来源:J Org Chem 1982,47(18),3457
合成路线图解说明:

4-Methyl-5-nitroimidazole (I) is condensed with benzaldehyde (II) in the presence of piperidine to produce the 4-styryl imidazole (III). Alkylation of imidazole (III) with benzyl chloride leads to a 3:1 mixture of regioisomeric N-benzyl imidazoles (IV) and (V). Ozonolysis of this mixture, followed by oxidative work-up of the ozonide with performic acid, allows isolation of the desired imidazolecarboxylic acid (VI) by employing a differential precipitation technique. Activation of acid (VI) with CDI, and further treatment of the resultant imidazolide with potassium methanenitronate gives rise to nitro ketone (VII). Both nitro groups of (VII) are then reduced by SnCl2 in concentrated HCl to furnish diamine (VIII). Then, removal of the N-benzyl group of (VIII) by catalytic hydrogenation over Pd/C yields imidazole (IX). Ring closure of (IX) in the presence of triethyl orthoformate produces the imidazodiazepinone (X)

合成路线图解说明:

After silylation of the imidazodiazepinone (X) employing bis(trimethylsilyl)trifluoroacetamide, glycosylation with 2-deoxy-3,5-di-p-toluoyl-D-erythro-pentofuranosyl chloride (XI) leads to a mixture of glycoside anomers (XII) and (XIII), from which the desired beta-anomer (XII) can be isolated by either column chromatography or by fractional crystallization. The toluoyl ester groups of (XII) are then removed by methanolysis in the presence of NaOMe to afford (XIV). Finally, reduction of ketone (XIV) gives rise to a 60:40 mixture of the target (R)-hydroxy imidazodiazepine along with its (S)-epimer (XV), which are separated by reverse-phase preparative HPLC

Drug Information Express,Drug R&D,Chemical Database,Patent Search.
Copyright © 2006-2026 Drug Future. All rights reserved.Contact Us