【药物名称】Taprostene sodium, CG-4203
化学结构式(Chemical Structure):
参考文献No.66427
标题:CG-4203
作者:Casta馿r, J.; Hillier, K.; Serradell, M.N.
来源:Drugs Fut 1984,9(7),494
合成路线图解说明:

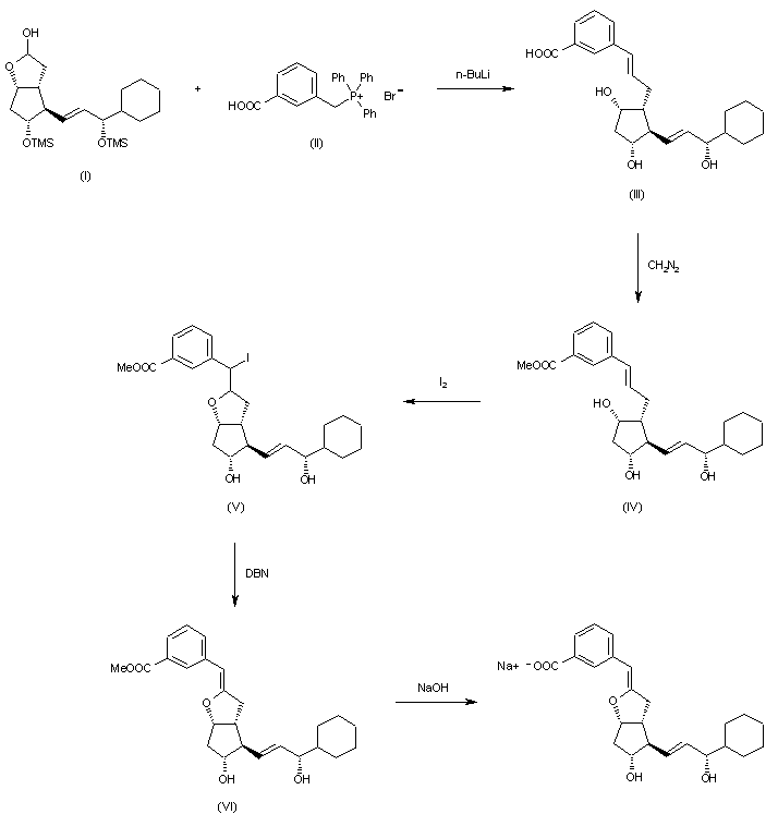
The Wittig condensation of 3alpha,5alpha-bi(trimethylsilyloxy)-2beta-(3-hydroxy-3-cyclohexyl-trans-1-propenyl)cyclopentan-1alpha-acetaldehyde-gamma-lactol (I) with m-carboxyphenylmethyl-triphenylphosphonium bromide (II) by means of butyllithium in DMSO gives 2,3,4-trinor-inter-m-phenylene-9,11,15-trihydroxy-15-cyclohexyl-16,17,18,19,20-pentanorprosta-5,13-dienoic acid (III), which is methylated with diazomethane in ether to the corresponding methyl ester (IV). The reaction of (IV) with I2 and NaHCO3 in ether - water yields the iodinated epoxide (V), which is treated with 1,5-diazabicyclo[4.3.0]non-5-ene in toluene to eliminate HI affording CG-4203 methyl ester (VI). Finally, this compound is saponified with NaOH in methanol - water.

参考文献No.701192
标题:Heterocyclic prostaglandin type compounds, medicaments containing them and processes for the preparation and use of these heterocyclic compounds and medicaments
作者:Seipp, U.; et al.
来源:DE 3029984; EP 0045842; JP 57054180; US 4372971
合成路线图解说明:

The Wittig condensation of 3alpha,5alpha-bi(trimethylsilyloxy)-2beta-(3-hydroxy-3-cyclohexyl-trans-1-propenyl)cyclopentan-1alpha-acetaldehyde-gamma-lactol (I) with m-carboxyphenylmethyl-triphenylphosphonium bromide (II) by means of butyllithium in DMSO gives 2,3,4-trinor-inter-m-phenylene-9,11,15-trihydroxy-15-cyclohexyl-16,17,18,19,20-pentanorprosta-5,13-dienoic acid (III), which is methylated with diazomethane in ether to the corresponding methyl ester (IV). The reaction of (IV) with I2 and NaHCO3 in ether - water yields the iodinated epoxide (V), which is treated with 1,5-diazabicyclo[4.3.0]non-5-ene in toluene to eliminate HI affording CG-4203 methyl ester (VI). Finally, this compound is saponified with NaOH in methanol - water.

Drug Information Express,Drug R&D,Chemical Database,Patent Search.
Copyright © 2006-2026 Drug Future. All rights reserved.Contact Us