【药物名称】Flutropium bromide, Ba 598 Br, Flubron
化学结构式(Chemical Structure):
参考文献No.10240
标题:Quaternary N-beta-substd. benzylic acid N-alkyltropinic esters
作者:Banholzer, R.; Bauer, R.; Heusner, A.; Schulz, W. (Boehringer Ingelheim GmbH)
来源:DE 2540633
合成路线图解说明:

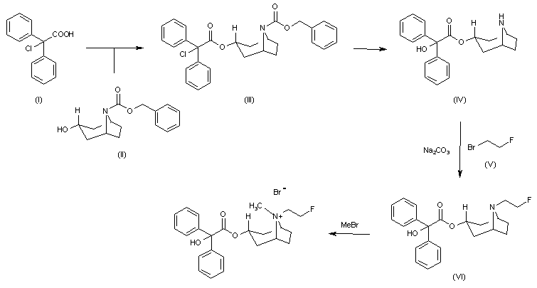
The esterification of N-benzyloxycarbonylnortropine (II) with diphenyl chloroacetic acid (I) gives the corresponding ester (III), which is deprotected and hydrolyzed to afford nortropine benzylate (IV). This compound (IV) is alkylated with 2-bromo-1-fluoroethane (V) by means of Na2CO3 in refluxing acetonitrile yielding N-(2-fluoroethyl)nortropine benzylate (VI), which is finally treated with methyl bromide in dichloromethane acetonitrile.

参考文献No.66381
标题:Flutropium Bromide
作者:Casta馿r, J.; Serradell, M.N.; Casta馿r, R.M.
来源:Drugs Fut 1987,12(7),630
合成路线图解说明:

The esterification of N-benzyloxycarbonylnortropine (II) with diphenyl chloroacetic acid (I) gives the corresponding ester (III), which is deprotected and hydrolyzed to afford nortropine benzylate (IV). This compound (IV) is alkylated with 2-bromo-1-fluoroethane (V) by means of Na2CO3 in refluxing acetonitrile yielding N-(2-fluoroethyl)nortropine benzylate (VI), which is finally treated with methyl bromide in dichloromethane acetonitrile.

参考文献No.84671
标题:Synthesis of the bronchospasmolytic agent flutropim bromide and of some homologous and configuration isomeric compounds
作者:Banholzer, R.; et al.
来源:Arzneim-Forsch Drug Res 1986,36(8),1161-6
合成路线图解说明:

The esterification of N-benzyloxycarbonylnortropine (II) with diphenyl chloroacetic acid (I) gives the corresponding ester (III), which is deprotected and hydrolyzed to afford nortropine benzylate (IV). This compound (IV) is alkylated with 2-bromo-1-fluoroethane (V) by means of Na2CO3 in refluxing acetonitrile yielding N-(2-fluoroethyl)nortropine benzylate (VI), which is finally treated with methyl bromide in dichloromethane acetonitrile.

Drug Information Express,Drug R&D,Chemical Database,Patent Search.
Copyright © 2006-2026 Drug Future. All rights reserved.Contact Us