【药物名称】Gusperimus hydrochloride, Deoxyspergualin hydrochloride, BMY-42215-1, BMS-181173, NSC-356894, NKT-01, DSG, Spanidin
化学结构式(Chemical Structure):
参考文献No.3232
标题:N-[4-(3-Aminopropyl)-aminobutyl]-2-(omega-guanidino-fatty-acid-amido)-2-substd.-ethanamide and salt thereof
作者:Fujii, A.; Iinuma, H.; Ikeda, D.; Kondo, S.; Nakamura, T.; Takeuchi, T.; Umezawa, H. (Microbial Chemistry Research Foundation)
来源:BE 0894651; US 4518532; US 4658058
合成路线图解说明:

2) By an acid catalyzed condensation of 7-guanidinoheptanamide (IX) with an equivalent amount of glyoxylspermidine (X) in the presence of glutaric acid at 60 C for 8 h. Purification of the reaction mixture gives DSG in 39% yield.

参考文献No.9808
标题:(-)-15-Deoxyspergualin, process for the preparation thereof, and intermediate of the same
作者:Umezawa, H.; Takeuchi, T.; Kondo, S. (Microbial Chemistry Research Foundation)
来源:US 4525299
合成路线图解说明:

2) By an acid catalyzed condensation of 7-guanidinoheptanamide (IX) with an equivalent amount of glyoxylspermidine (X) in the presence of glutaric acid at 60 C for 8 h. Purification of the reaction mixture gives DSG in 39% yield.

参考文献No.9809
标题:(-)-15-Deoxyspergualin, a process for the preparation of the same, an intermediate of the same, and its use as medicament
作者:Kondo, S.; Takeuchi, T.; Umezawa, H. (Microbial Chemistry Research Foundation)
来源:EP 0094632
合成路线图解说明:

1) By a stepwise conversion of spergualin to DSG in the following sequence: a) Protecting the primary and secondary amines of spergualin with N-(benzyloxycarbonyloxy)suc cinimide to form the N,N'-benzyloxycarbonyl derivative (I); b) protecting the 11-hydroxy group with 3,4-dihydro-2H-pyran to the 11-O tetrahydropyranyl derivative (II); c) converting the 1,5-hydroxy function of (II) to a 1,5-mesylate (III); d) halogenation of (III) with sodium iodide, followed by catalytic hydrogenation, to give 15-deoxy-1-O-tetrahydropyranylspergualin (IV); e) hydrolysis of (IV) with p-toluenesulfonic acid in water to yield 1,5-deoxyspergualin. The overall yield of DSG is 1.8%, based on the amount of spergualin used.

参考文献No.39502
标题:N-[4-(3-Aminopropyl)aminobutyl]-2,2-dihydroxyethanamide and process for its synthesis
作者:Ikeda, D.; Nakamura, T.; Fujii, A.; Umezawa, H.; Kondo, S.; Iinuma, H.; Takeuchi, T. (Microbial Chemistry Research Foundation)
来源:DE 3217693; GB 2100253
合成路线图解说明:

2) By an acid catalyzed condensation of 7-guanidinoheptanamide (IX) with an equivalent amount of glyoxylspermidine (X) in the presence of glutaric acid at 60 C for 8 h. Purification of the reaction mixture gives DSG in 39% yield.

参考文献No.39503
标题:Method for producing glyoxylspermidine and the use thereof for the production of 15-deoxy spergualin-related cpds.
作者:Takeuchi, T.; Fujii, A.; Nakamura, T.; Umeda, Y.; Moriguchi, M.; Umezawa, H. (Nippon Kayaku Co., Ltd.; Takara Shuzo Co., Ltd.)
来源:DE 3506330; US 4603015
合成路线图解说明:

2) By an acid catalyzed condensation of 7-guanidinoheptanamide (IX) with an equivalent amount of glyoxylspermidine (X) in the presence of glutaric acid at 60 C for 8 h. Purification of the reaction mixture gives DSG in 39% yield.

参考文献No.39507
标题:(S)-7-Guanidino-3-hydroxyheptanamide and its synthesis method
作者:Takeuchi, T.; Umezawa, H.; Kondo, S.; Nakamura, T.; Iinuma, H.; Ikeda, T.; Fujii, A. (Microbial Chemistry Research Foundation)
来源:JP 1982188562
合成路线图解说明:

2) By an acid catalyzed condensation of 7-guanidinoheptanamide (IX) with an equivalent amount of glyoxylspermidine (X) in the presence of glutaric acid at 60 C for 8 h. Purification of the reaction mixture gives DSG in 39% yield.

参考文献No.39508
标题:Purification method of spergualin or its derivs.
作者:Suzuki, M.; Nishizawa, R.; Takei, M.; Yoshida, M. (Nippon Kayaku Co., Ltd.)
来源:JP 1984029652
合成路线图解说明:

2) By an acid catalyzed condensation of 7-guanidinoheptanamide (IX) with an equivalent amount of glyoxylspermidine (X) in the presence of glutaric acid at 60 C for 8 h. Purification of the reaction mixture gives DSG in 39% yield.

参考文献No.39509
标题:Spegualin-related nitrile cpds. and their preparation method
作者:Inokai, K.; Fujii, A.; Takeuchi, T.; Umeda, Y.; Moriguchi, M.; Nakamura, T.; Umezawa, H. (Nippon Kayaku Co., Ltd.; Takara Shuzo Co., Ltd.)
来源:JP 1985178853
合成路线图解说明:

2) By an acid catalyzed condensation of 7-guanidinoheptanamide (IX) with an equivalent amount of glyoxylspermidine (X) in the presence of glutaric acid at 60 C for 8 h. Purification of the reaction mixture gives DSG in 39% yield.

参考文献No.39510
标题:Adduct of omega-guanidino fatty acid amide and glyoxylic acid, and its preparation method
作者:Nakamura, T.; Moriguchi, M.; Inokai, K.; Umeda, Y.; Umezawa, H.; Takeuchi, T.; Fujii, A. (Nippon Kayaku Co., Ltd.; Takara Shuzo Co., Ltd.)
来源:JP 1985178852
合成路线图解说明:

2) By an acid catalyzed condensation of 7-guanidinoheptanamide (IX) with an equivalent amount of glyoxylspermidine (X) in the presence of glutaric acid at 60 C for 8 h. Purification of the reaction mixture gives DSG in 39% yield.

参考文献No.60595
标题:Deoxyspergualin
作者:Cheng, C.C.; Zee-Cheng, R.K.-Y.
来源:Drugs Fut 1987,12(2),113
合成路线图解说明:

1) By a stepwise conversion of spergualin to DSG in the following sequence: a) Protecting the primary and secondary amines of spergualin with N-(benzyloxycarbonyloxy)suc cinimide to form the N,N'-benzyloxycarbonyl derivative (I); b) protecting the 11-hydroxy group with 3,4-dihydro-2H-pyran to the 11-O tetrahydropyranyl derivative (II); c) converting the 1,5-hydroxy function of (II) to a 1,5-mesylate (III); d) halogenation of (III) with sodium iodide, followed by catalytic hydrogenation, to give 15-deoxy-1-O-tetrahydropyranylspergualin (IV); e) hydrolysis of (IV) with p-toluenesulfonic acid in water to yield 1,5-deoxyspergualin. The overall yield of DSG is 1.8%, based on the amount of spergualin used.

合成路线图解说明:

2) By an acid catalyzed condensation of 7-guanidinoheptanamide (IX) with an equivalent amount of glyoxylspermidine (X) in the presence of glutaric acid at 60 C for 8 h. Purification of the reaction mixture gives DSG in 39% yield.

参考文献No.202984
标题:Synthesis of tritium labeled (? 15-deoxyspergualin trihydrochloride
作者:Cook, D.J.; Tepper, M.A.; Saulnier, M.G.; Dischino, D.D.
来源:J Label Compd Radiopharm 1993,33(2),137
合成路线图解说明:

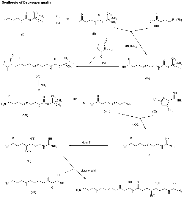
The synthesis of racemic 15-deoxyspergualin and tritium-labeled compound has been described: The oxidation of N-(3-hydroxypropyl)carbamic acid tert-butyl ester (I) with pyridinium chlorochromate in dichloromethane gives N-(3-oxopropyl)carbamic acid tert-butyl ester (II), which is condensed with 4-(triphenylphosphonium)butyrate (III) by means of lithium bis(trimethylsilyl)amide in THF yielding 7-(tert-butoxycarbonylamino)-4-heptenoic acid (IV). The esterification of (IV) with N-hydroxysuccinimide (V) by means of dicyclohexylcarbodiimide and 1-hydroxybenzotriazole affords the corresponding ester (VI), which is treated with ammonia in methanol giving the corresponding amide (VII). The hydrolysis of (VII) with HCl in ethyl acetate yields 7-amino-4-heptenamide (VIII), which is treated with 3,5-dimethylpyrazole-1-carboxamidine (IX) and K2CO3 in methanol affording 7-guanidino-4-heptenamide (X). The reduction of (X) gives 7-guanidinoheptanamide (XI), which is finally condensed with glyoxylspermidine (XII) by means of glutaric acid in hot water. The tritium-labeled compound can also be obtained in the same way by performing the reduction of heptenamide (X) with tritium gas.

参考文献No.352808
标题:Synthesis of carbon-14 labeled (? 15-deoxyspergualin trihydrochloride
作者:Dischino, D.D.
来源:J Label Compd Radiopharm 1995,36(11),1097
合成路线图解说明:

The synthesis of [14C]-labeled 15-deoxyspergualin trihydrochloride has been reported: The condensation of [14C]-labeled S-methylisothiourea (I) with 7-aminoheptanoic acid (II) by means of NaOH in water gives 7-guanidinoheptanoic acid (III), which is treated with Dowex 50W resin (H+ form) in refluxing methanol yielding the corresponding methyl ester (IV). The reaction of (IV) with concentrated NH4OH affords the amide (V), which is finally condensed with glyoxyloxyspermidine (VI) by means of glutaric acid in hot water (60 C), and purified by chromatography over Sephadex CM-25 (Na+ form).

参考文献No.487533
标题:(-)-15-Deoxyspergualin: A new and efficient enantioselective synthesis which allows the definitive assignment of the absolute configuration
作者:Durand, P.; et al.
来源:J Org Chem 1998,63(26),9723
合成路线图解说明:

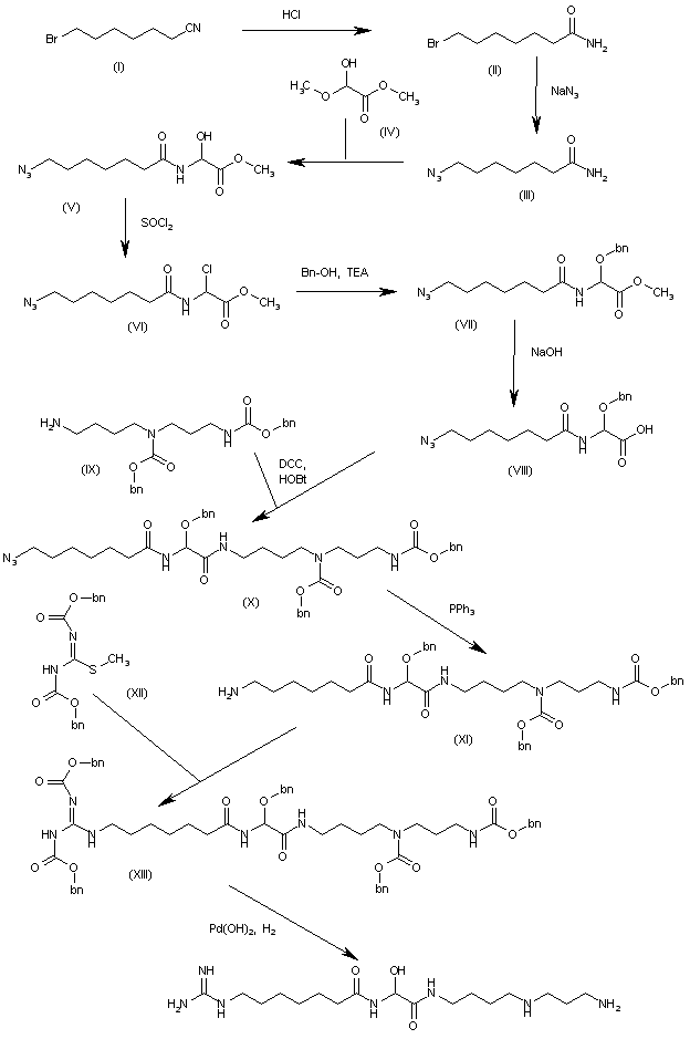
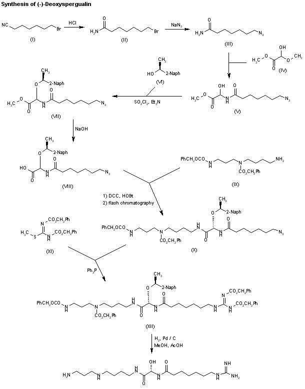
A new synthesis of (-)-15-deoxyspergualin has been reported: The hydrolysis of 7-bromoheptanenitrile (I) with HCl gives the corresponding amide (II), which by reaction with sodium azide yields 7-azidoheptanamide (III). The condensation of (III) with 2-hydroxy-2-methoxyacetic acid methyl ester (IV) affords the alpha-hydroxyglycine derivative (V), which is condensed with 1(S)-(2-naphthyl)ethanol (VI) by means of SO2Cl2 and triethylamine in dichloromethane providing the diastereomeric mixture (VII). Hydrolysis of the ester group of (VII) with NaOH yields the corresponding free acid (VIII), which is condensed with the diprotected triamine (IX) by means of DCC and HOBt in dichloromethane affording a diastereomeric mixture of diamides. This mixture is separated by flash chromatography giving the desired diastereomer (X). The condensation of (X) with the protected isothiourea (XI) by means of triphenylphosphine in THF/water provides the proteted guanidino derivative (XII), which is finally deprotected by hydrogenation with H2 over Pd/C in methanol/acetic acid.

合成路线图解说明:

The hydrolysis of 7-bromoheptanenitrile (I) with HCl gives the corresponding amide (II), which is treated with Na-N3 in hot DMSO to yield 7-azidoheptanamide (III) (1). The condensation of (III) with 2-hydroxy-2-methoxyacetic acid methyl ester (IV) in hot dichloromethane affords the alpha-hydroxyglycine (V), which is treated with SOCl2 in the same solvent to provide the alpha-chloroglycine (VI). The reaction of (VI) with benzyl alcohol and TEA in dichloromethane furnishes the benzyloxy derivative (VII), which is hydrolyzed at the ester group by means of NaOH in DME to give the carboxylic acid (VIII). The condensation of (VIII) with N1,N4-bis(benzyloxycarbonyl)spermidine (IX) by means of DCC and HOBt in dichloromethane yields the corresponding amide (X), which is reduced at the terminal azido group by means of PPh3 in THF/water, affording the expected primary amine (XI). The condensation of (XI) with the protected isothiourea (XII) in THF affords the protected guanidine derivative (XIII), which is finally deprotected by hydrogenolysis with H2 over Pd(OH)2 in methanol/acetic acid to provide the target compound.

参考文献No.537100
标题:The total synthesis of spergualin, an antitumor antibiotic
作者:Kondo, S.; Iwasawa, H.; Ikeda, D.; Umeda, Y.; Ikeda, Y.; Iinuma, H.; Umezawa, H.
来源:J Antibiot 1981,34(12),1625-1627
合成路线图解说明:

2) By an acid catalyzed condensation of 7-guanidinoheptanamide (IX) with an equivalent amount of glyoxylspermidine (X) in the presence of glutaric acid at 60 C for 8 h. Purification of the reaction mixture gives DSG in 39% yield.

参考文献No.537101
标题:Synthesis of (-)-15-deoxyspergualin and (-)-spergualin-15-phosphate
作者:Iwasawa, H.; Kondo, S.; Ikeda, D.; Takeuchi, T.; Umezawa, H.
来源:J Antibiot 1982,35(12),1665-1669
合成路线图解说明:

1) By a stepwise conversion of spergualin to DSG in the following sequence: a) Protecting the primary and secondary amines of spergualin with N-(benzyloxycarbonyloxy)suc cinimide to form the N,N'-benzyloxycarbonyl derivative (I); b) protecting the 11-hydroxy group with 3,4-dihydro-2H-pyran to the 11-O tetrahydropyranyl derivative (II); c) converting the 1,5-hydroxy function of (II) to a 1,5-mesylate (III); d) halogenation of (III) with sodium iodide, followed by catalytic hydrogenation, to give 15-deoxy-1-O-tetrahydropyranylspergualin (IV); e) hydrolysis of (IV) with p-toluenesulfonic acid in water to yield 1,5-deoxyspergualin. The overall yield of DSG is 1.8%, based on the amount of spergualin used.

参考文献No.537102
标题:Synthesis and antitumor activity of spergualin analogues. I. Chemical modification of 7-guanidino-3-hydroxyacyl moiety
作者:Umeda, Y.; Moriguchi, M.; Kuroda, H.; Nakamura, T.; Iinuma, H.; Takeuchi, T.; Umezawa, H.
来源:J Antibiot 1985,38(7),886-898
合成路线图解说明:

2) By an acid catalyzed condensation of 7-guanidinoheptanamide (IX) with an equivalent amount of glyoxylspermidine (X) in the presence of glutaric acid at 60 C for 8 h. Purification of the reaction mixture gives DSG in 39% yield.

参考文献No.615942
标题:A new efficient synthesis of the immunosuppressive agent (?-15-deoxyspergualin
作者:Durand, P.; et al.
来源:Tetrahedron 2001,57(14),2757
合成路线图解说明:

The hydrolysis of 7-bromoheptanenitrile (I) with HCl gives the corresponding amide (II), which is treated with Na-N3 in hot DMSO to yield 7-azidoheptanamide (III) (1). The condensation of (III) with 2-hydroxy-2-methoxyacetic acid methyl ester (IV) in hot dichloromethane affords the alpha-hydroxyglycine (V), which is treated with SOCl2 in the same solvent to provide the alpha-chloroglycine (VI). The reaction of (VI) with benzyl alcohol and TEA in dichloromethane furnishes the benzyloxy derivative (VII), which is hydrolyzed at the ester group by means of NaOH in DME to give the carboxylic acid (VIII). The condensation of (VIII) with N1,N4-bis(benzyloxycarbonyl)spermidine (IX) by means of DCC and HOBt in dichloromethane yields the corresponding amide (X), which is reduced at the terminal azido group by means of PPh3 in THF/water, affording the expected primary amine (XI). The condensation of (XI) with the protected isothiourea (XII) in THF affords the protected guanidine derivative (XIII), which is finally deprotected by hydrogenolysis with H2 over Pd(OH)2 in methanol/acetic acid to provide the target compound.

Drug Information Express,Drug R&D,Chemical Database,Patent Search.
Copyright © 2006-2026 Drug Future. All rights reserved.Contact Us