【药物名称】Etanidazole, NSC-301467, DuP-435, SR-2508, SP-2508, Radinyl
化学结构式(Chemical Structure):
参考文献No.27056
标题:Novel imidazole derivs. and a process for the manufacture thereof
作者:Beaman, A.G.; Duschinsky, R.; Tautz, W.P. (F. Hoffmann-La Roche AG)
来源:GB 1138529
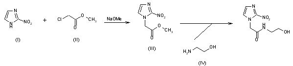
合成路线图解说明:

The condensation of 2-nitroimidazole (I) with methyl chloroacetate (II) by means of sodium methoxide in hot DMF gives methyl (2-nitro-1-imidazolyl)acetate (III), which is then treated with ethanolamine (IV) in methanol.

合成路线图解说明:

The condensation of 2-nitroimidazole (I) with methyl chloroacetate (II) by means of sodium methoxide in methanol - DMF at 150 C gives methyl 2-nitro-1-imidazolylacetate (III), which is then condensed with benzylamine (IV) in methanol.

参考文献No.27057
标题:2-Nitroimidazoles
作者:Beaman, A.G.; Duschinsky, R.; Tautz, W.P. (F. Hoffmann-La Roche AG)
来源:US 3679698
合成路线图解说明:

The condensation of 2-nitroimidazole (I) with methyl chloroacetate (II) by means of sodium methoxide in hot DMF gives methyl (2-nitro-1-imidazolyl)acetate (III), which is then treated with ethanolamine (IV) in methanol.

参考文献No.27058
标题:Nitroimidazoles of low toxicity and high activity as radiosensitizers of hypoxic tumor cells
作者:Lee, W.W.; Brown, J.M.; Martinez, A.P.; Cory, M.J. (US Department of Health & Human Services)
来源:US 4371540
合成路线图解说明:

The condensation of 2-nitroimidazole (I) with methyl chloroacetate (II) by means of sodium methoxide in hot DMF gives methyl (2-nitro-1-imidazolyl)acetate (III), which is then treated with ethanolamine (IV) in methanol.

参考文献No.308998
标题:Etanidazole
作者:Casta馿r, J.; Robinson, C.
来源:Drugs Fut 1995,20(8),772
合成路线图解说明:

The condensation of 2-nitroimidazole (I) with methyl chloroacetate (II) by means of sodium methoxide in hot DMF gives methyl (2-nitro-1-imidazolyl)acetate (III), which is then treated with ethanolamine (IV) in methanol.

Drug Information Express,Drug R&D,Chemical Database,Patent Search.
Copyright © 2006-2026 Drug Future. All rights reserved.Contact Us