【药物名称】Baker's triazine antifolate, Triazinate, TZT, NSC-139105
化学结构式(Chemical Structure):
参考文献No.79245
标题:TRIAZINATE
作者:Chang, P.
来源:Drugs Fut 1989,14(2),138
合成路线图解说明:

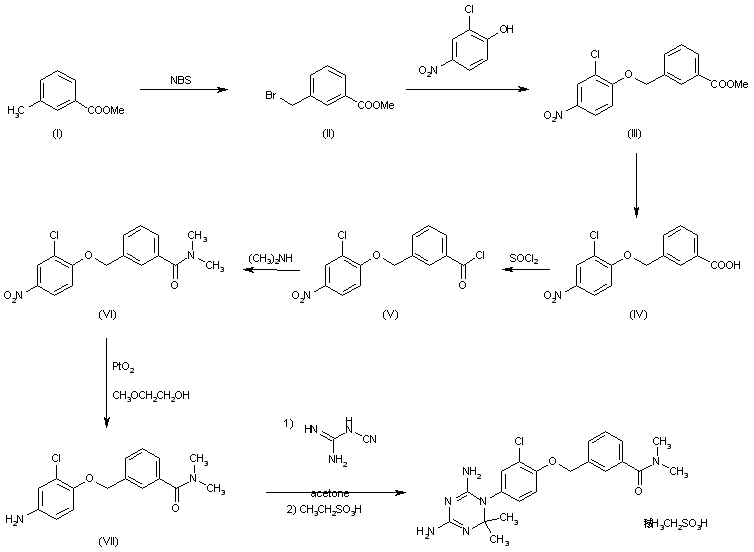
The key intermediate alpha-(2-chloro-4-nitrophenoxy)-m-toluic acid (IV) is prepared from methyl m-toluate (I) by bromination with N-bromosuccinimide in the presence of benzoyl peroxide, then condensation with 2-chloro-4-nitrophenol, followed by basic hydrolysis. The carboxylic acid group of compound (IV) is converted to dimethylamide (VI) via acyl chloride (V). The nitro intermediate (VI) is hydrogenated over platinum oxide in 2-methoxyethanol. The resulting amine (VII) is then condensed with cyanoguanidine and acetone in the presence of ethanesulfonic acid to give triazinate.

参考文献No.93106
标题:Irreversible enzyme inhibitors. CLXXIX. Active-site-directed irreversible enzyme inhibitors of dihydrofolate reductase from 1-(3-chlorophenyl)-4, 6-diamino-1,2-dihydro-2,2-dimethyl-s-triazine with oxyamine bridges to a terminal sulfonyl flouride
作者:Baker, B.R.; Ashton, W.T.
来源:J Med Chem 1970,131165-70
合成路线图解说明:

The key intermediate alpha-(2-chloro-4-nitrophenoxy)-m-toluic acid (IV) is prepared from methyl m-toluate (I) by bromination with N-bromosuccinimide in the presence of benzoyl peroxide, then condensation with 2-chloro-4-nitrophenol, followed by basic hydrolysis. The carboxylic acid group of compound (IV) is converted to dimethylamide (VI) via acyl chloride (V). The nitro intermediate (VI) is hydrogenated over platinum oxide in 2-methoxyethanol. The resulting amine (VII) is then condensed with cyanoguanidine and acetone in the presence of ethanesulfonic acid to give triazinate.

参考文献No.93107
标题:Water-soluble reversible inhibitors of dihydrofolate reductase with potent antitumor activity derived from 4,6-diamino-1,2-dihydro-2, 2-dimethyl-1-phenyl-s-triazine
作者:Baker, B.R.; Ashton, W.T.
来源:J Med Chem 1973,16209-14
合成路线图解说明:

The key intermediate alpha-(2-chloro-4-nitrophenoxy)-m-toluic acid (IV) is prepared from methyl m-toluate (I) by bromination with N-bromosuccinimide in the presence of benzoyl peroxide, then condensation with 2-chloro-4-nitrophenol, followed by basic hydrolysis. The carboxylic acid group of compound (IV) is converted to dimethylamide (VI) via acyl chloride (V). The nitro intermediate (VI) is hydrogenated over platinum oxide in 2-methoxyethanol. The resulting amine (VII) is then condensed with cyanoguanidine and acetone in the presence of ethanesulfonic acid to give triazinate.

Drug Information Express,Drug R&D,Chemical Database,Patent Search.
Copyright © 2006-2026 Drug Future. All rights reserved.Contact Us