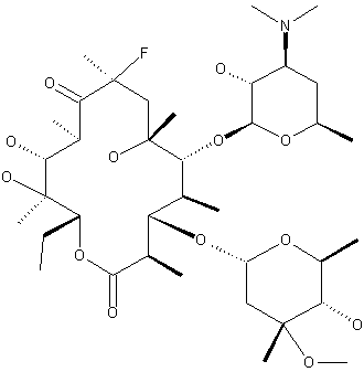
【药物名称】Flurithromycin, P-0501-A, CI-932, Flurizic, Mizar, Ritro
化学结构式(Chemical Structure):
参考文献No.27204
标题:Novel semisynthetic macrolidic antibiotics, microb
作者:Toscano, L.; Cappelletti, L.M. (Pierrel SpA)
来源:BE 0891734; EP 0056291; US 4439426
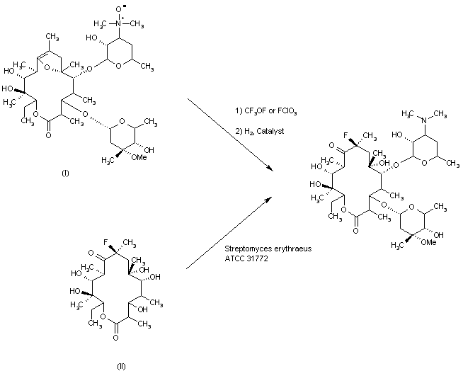
合成路线图解说明:

This compound can be obtained by two different ways: 1) By fluorination of 8,9-anhydroerythromycin A 6,9-hemiketal N-oxide (I) with trifluoromethyl hypofluorite (or perchloryl fluoride), followed by reduction of the corresponding N-oxide obtained. 2) By biological synthesis, starting from (8S)-8-fluoroerythronolide A (II) in a culture broth of Streptomyces erythraeus ATCC 31772, a blocked mutant of an erythromycin-producing strain.

参考文献No.39870
标题:Enzyme inhibitory phthalazin-4-ylacetic acid deriv
作者:Brittain, D.R.; Wood, R. (AstraZeneca plc)
来源:EP 0002895; US 4251528
合成路线图解说明:

This compound can be obtained by two different ways: 1) By fluorination of 8,9-anhydroerythromycin A 6,9-hemiketal N-oxide (I) with trifluoromethyl hypofluorite (or perchloryl fluoride), followed by reduction of the corresponding N-oxide obtained. 2) By biological synthesis, starting from (8S)-8-fluoroerythronolide A (II) in a culture broth of Streptomyces erythraeus ATCC 31772, a blocked mutant of an erythromycin-producing strain.

参考文献No.63711
标题:Flurithromycin
作者:de Angelis, L.
来源:Drugs Fut 1987,12(3),214
合成路线图解说明:

This compound can be obtained by two different ways: 1) By fluorination of 8,9-anhydroerythromycin A 6,9-hemiketal N-oxide (I) with trifluoromethyl hypofluorite (or perchloryl fluoride), followed by reduction of the corresponding N-oxide obtained. 2) By biological synthesis, starting from (8S)-8-fluoroerythronolide A (II) in a culture broth of Streptomyces erythraeus ATCC 31772, a blocked mutant of an erythromycin-producing strain.

参考文献No.546564
标题:New fluorinated erythromycins obtained by mutasynt
作者:Toscano, L.; Fiorello, G.; Spagnoli, R.; Cappelletti, L.; Zanuso, G.
来源:J Antibiot 1983,361439
合成路线图解说明:

This compound can be obtained by two different ways: 1) By fluorination of 8,9-anhydroerythromycin A 6,9-hemiketal N-oxide (I) with trifluoromethyl hypofluorite (or perchloryl fluoride), followed by reduction of the corresponding N-oxide obtained. 2) By biological synthesis, starting from (8S)-8-fluoroerythronolide A (II) in a culture broth of Streptomyces erythraeus ATCC 31772, a blocked mutant of an erythromycin-producing strain.

参考文献No.546571
标题:Preparation of (8S)-8-fluoroerythronolide A and (8
作者:Toscano, L.; Fiorello, G.; Silingardi, S.; Inglesi, M.
来源:Tetrahedron Asymmetry 1984,112177
合成路线图解说明:

This compound can be obtained by two different ways: 1) By fluorination of 8,9-anhydroerythromycin A 6,9-hemiketal N-oxide (I) with trifluoromethyl hypofluorite (or perchloryl fluoride), followed by reduction of the corresponding N-oxide obtained. 2) By biological synthesis, starting from (8S)-8-fluoroerythronolide A (II) in a culture broth of Streptomyces erythraeus ATCC 31772, a blocked mutant of an erythromycin-producing strain.

Drug Information Express,Drug R&D,Chemical Database,Patent Search.
Copyright © 2006-2026 Drug Future. All rights reserved.Contact Us