【药物名称】Lenampicillin hydrochloride, KBT-1585, KB-1585, Takacillin, Veracillin
化学结构式(Chemical Structure):
参考文献No.46500
标题:Novel ampicillin esters and production thereof
作者:Sakamoto, F.; Ikeda, S.; Tsukamoto, G.; Utsumi, I. (Kanebo Pharmaceuticals, Ltd.)
来源:EP 0039086; EP 0039477; EP 0061206; US 4389408
合成路线图解说明:

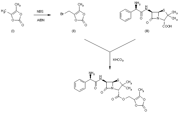
The bromination of 4,5-dimethyl-1,3-dioxolen-2-one (I) with N-bromo-succinimide (NBS) and azobisisobutyronitrile (AIBN) in CCl4 gives 4-methyl-5-bromomethyl-1,3-diioxolen-2-one (II), which is then condensed with ampicillin (III) by means of KHCO3 and benzaldehyde in DMF.

参考文献No.74968
标题:KB-1585
作者:Serradell, M.N.; Casta馿r, J.; Blancafort, P.
来源:Drugs Fut 1983,8(11),920
合成路线图解说明:

The bromination of 4,5-dimethyl-1,3-dioxolen-2-one (I) with N-bromo-succinimide (NBS) and azobisisobutyronitrile (AIBN) in CCl4 gives 4-methyl-5-bromomethyl-1,3-diioxolen-2-one (II), which is then condensed with ampicillin (III) by means of KHCO3 and benzaldehyde in DMF.

Drug Information Express,Drug R&D,Chemical Database,Patent Search.
Copyright © 2006-2026 Drug Future. All rights reserved.Contact Us