【药物名称】Argipidine, Argatroban monohydrate, GN1600, DK-7419, MDI-805, OM-805, MCI-9038, MD-805, Argatroban Injection, Acova, Slonnon, Novastan
化学结构式(Chemical Structure):
参考文献No.46771
标题:N2-Arylsulfonyl-L-argininamides and the pharmaceutically acceptable salts thereof
作者:Kikumoto, R.; Tamao, Y.; Onkubo, K.; Tezuka, T.; Tonomura, S.; Hihikata, A.; Okamoto, S. (Mitsubishi Chemical Corp.)
来源:EP 0008746; US 4258192
合成路线图解说明:

The condensation of N(G)-nitro-N2-(tert-butoxy-carbonyl)-L-arginine (I) with ethyl 4-methylpiperidine-2-carboxylate (II) by means of isobutyl chloroformate (A) and triethylamine in THF gives ethyl 1-[N(G)-nitro-N2-(tert-butoxycarbonyl)-L-arginyl]-4-methylpiperidine-2-carboxylate (III), which is protected with HCl in ethyl acetate yielding ethyl 1-(N(G)-nitro-L-arginyl)-4-methylpiperidine-2-carboxylate (IV). The condensation of (IV) with 3-methylquinoline-8-sulfonyl chloride (V) by means of triethylamine in chloroform affords ethyl 1-(N(G)-nitro-N2-(3-methyl-8-quinolinylsulfonyl)-L-arginyl]-4-methyl-2-piperidinecarboxylate (VI), which is hydrolyzed with NaOH in ethanol-water giving 1-[N(G)-nitro-N2-(3-methyl-8-quinolinylsulfonyl)-L-arginyl]-4-methyl-2-piperidinecarboxylic acid (VII). Finally, this compound is deprotected and reduced by hydrogenation with H2 over Pd/C in ethanol.

参考文献No.46772
标题:N2-Arylsulfonyl-L-argininamides and the pharmaceutically acceptable salts thereof
作者:Kikumoto, R.; Tamao, Y.; Onkubo, K.; Tezuka, T.; Tonomura, S.; Hihikata, A.; Okamoto, S. (Mitsubishi Chemical Corp.)
来源:US 4201863
合成路线图解说明:

The condensation of N(G)-nitro-N2-(tert-butoxy-carbonyl)-L-arginine (I) with ethyl 4-methylpiperidine-2-carboxylate (II) by means of isobutyl chloroformate (A) and triethylamine in THF gives ethyl 1-[N(G)-nitro-N2-(tert-butoxycarbonyl)-L-arginyl]-4-methylpiperidine-2-carboxylate (III), which is protected with HCl in ethyl acetate yielding ethyl 1-(N(G)-nitro-L-arginyl)-4-methylpiperidine-2-carboxylate (IV). The condensation of (IV) with 3-methylquinoline-8-sulfonyl chloride (V) by means of triethylamine in chloroform affords ethyl 1-(N(G)-nitro-N2-(3-methyl-8-quinolinylsulfonyl)-L-arginyl]-4-methyl-2-piperidinecarboxylate (VI), which is hydrolyzed with NaOH in ethanol-water giving 1-[N(G)-nitro-N2-(3-methyl-8-quinolinylsulfonyl)-L-arginyl]-4-methyl-2-piperidinecarboxylic acid (VII). Finally, this compound is deprotected and reduced by hydrogenation with H2 over Pd/C in ethanol.

参考文献No.75291
标题:MD-805
作者:Casta馿r, J.; Grau, M.; Blancafort, P.; Serradell, M.N.
来源:Drugs Fut 1982,7(11),810
合成路线图解说明:

The condensation of N(G)-nitro-N2-(tert-butoxy-carbonyl)-L-arginine (I) with ethyl 4-methylpiperidine-2-carboxylate (II) by means of isobutyl chloroformate (A) and triethylamine in THF gives ethyl 1-[N(G)-nitro-N2-(tert-butoxycarbonyl)-L-arginyl]-4-methylpiperidine-2-carboxylate (III), which is protected with HCl in ethyl acetate yielding ethyl 1-(N(G)-nitro-L-arginyl)-4-methylpiperidine-2-carboxylate (IV). The condensation of (IV) with 3-methylquinoline-8-sulfonyl chloride (V) by means of triethylamine in chloroform affords ethyl 1-(N(G)-nitro-N2-(3-methyl-8-quinolinylsulfonyl)-L-arginyl]-4-methyl-2-piperidinecarboxylate (VI), which is hydrolyzed with NaOH in ethanol-water giving 1-[N(G)-nitro-N2-(3-methyl-8-quinolinylsulfonyl)-L-arginyl]-4-methyl-2-piperidinecarboxylic acid (VII). Finally, this compound is deprotected and reduced by hydrogenation with H2 over Pd/C in ethanol.

参考文献No.629296
标题:A short synthesis of argatroban: A potent selective thrombin inhibitor
作者:Cossy, J.; Belotti, D.
来源:Bioorg Med Chem Lett 2001,11(15),1989
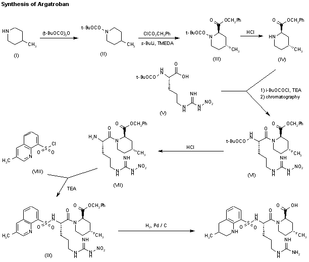
合成路线图解说明:

A new short synthesis of argatroban has been reported: The protection of 4-methylpiperidine (I) with (Boc)2O gives the carbamate (II), which is condensed with benzyl chloroformate by means of sec-butyl lithium and TMEDA in ethyl ether to yield (?-trans-1-(tert-butoxycarbonyl)-4-methylpiperidine-2-carboxylic acid benzyl ester (III). Deprotection of the NH group of (III) with HCl in ethyl acetate affords (?-trans-4-methylpiperidine-2-carboxylic acid benzyl ester (IV), which is condensed with the protected arginine derivative (V) by means of isobutyl chloroformate and TEA to provide the corresponding amide as a diastereomeric mixture. Resolution of this mixture by flash chromatography furnishes the desired diastereomer (VI), which is treated with HCl in ethyl acetate in order to remove the Boc-protecting group to yield compound (VII). Condensation of compound (VII) with 3-methylquinoline-8-sulfonyl chloride (VIII) by means of TEA in dichloromethane affords the expected sulfonamide (IX). Finally, this compound is submitted to hydrogenation with H2 over Pd/C in AcOH/ethanol in order to produce debenzylation, cleavage of the NO2 group and hydrogenation of the pyridine ring to yield argatroban.

Drug Information Express,Drug R&D,Chemical Database,Patent Search.
Copyright © 2006-2026 Drug Future. All rights reserved.Contact Us