【药物名称】Halopredone acetate, Haloart
化学结构式(Chemical Structure):
参考文献No.62318
标题:Halopredone diacetate
作者:Casta馿r, J.; de Angelis, L.
来源:Drugs Fut 1976,1(11),526
合成路线图解说明:

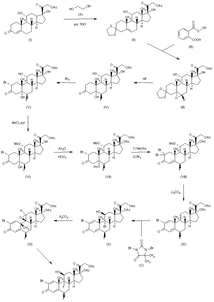
The starting product being 21-acetoxy-11alpha,17alpha-dihydroxy-pregn-4-ene-3,20-dione (I). The first step is the ketalization of (I) giving the ethylenedioxy derivative (II), which is epoxidized with monoperphthalic acid (B) to the epoxide (III), then the epoxide ring is opened with HF giving the fluoro derivative (IV); its bromination in dioxane affords (V), which by reaction with methanesulfonyl chloride gives the mesyl ester (VI). This compound is acetylated with acetic anhydride to the triacetoxy derivative (VII), which by treatment first with sodium acetate and then with bromine gives the mono unsaturated dibromo compound (VIII). This product by treatment with lithium carbonate and lithium bromide is converted into the triene derivative (IX); this product by treatment with 1,3-dibromo-5,5-dimethylhydantoine (C) adds BrOH giving (X), which is epoxidized by treatment with potassium carbonate yielding (Xl). This epoxide ring is finally opened with HF.

参考文献No.701146
标题:2-Bromo-6beta-fluoropregna-1,4-3,20-diones
作者:Riva, M.; Toscano, L.
来源:BE 0826030; DE 2533377; ES 455934; FR 2261776; GB 1499822
合成路线图解说明:

The starting product being 21-acetoxy-11alpha,17alpha-dihydroxy-pregn-4-ene-3,20-dione (I). The first step is the ketalization of (I) giving the ethylenedioxy derivative (II), which is epoxidized with monoperphthalic acid (B) to the epoxide (III), then the epoxide ring is opened with HF giving the fluoro derivative (IV); its bromination in dioxane affords (V), which by reaction with methanesulfonyl chloride gives the mesyl ester (VI). This compound is acetylated with acetic anhydride to the triacetoxy derivative (VII), which by treatment first with sodium acetate and then with bromine gives the mono unsaturated dibromo compound (VIII). This product by treatment with lithium carbonate and lithium bromide is converted into the triene derivative (IX); this product by treatment with 1,3-dibromo-5,5-dimethylhydantoine (C) adds BrOH giving (X), which is epoxidized by treatment with potassium carbonate yielding (Xl). This epoxide ring is finally opened with HF.

Drug Information Express,Drug R&D,Chemical Database,Patent Search.
Copyright © 2006-2026 Drug Future. All rights reserved.Contact Us