【药物名称】Halofantrine hydrochloride, SK&F-102866, WR-171669, Halfan
化学结构式(Chemical Structure):
参考文献No.70735
标题:Halofantrine hydrochloride
作者:Hillier, K.; Casta馿r, J.; Blancafort, P.; Serradell, M.N.
来源:Drugs Fut 1980,5(11),547
合成路线图解说明:

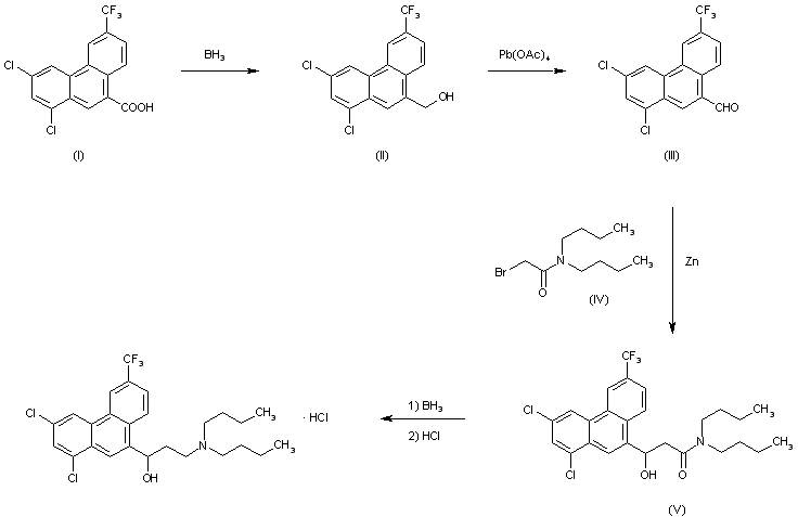
The reduction of 1,3-dichloro-6-trifluoromethylphenanthrene-9-carboxylic acid (I) with BH3 in THF gives 1,3-dichloro-6-trifluoromethyl-9-hydroxymethylphenanthrene (II), which is oxidized with lead tetracetate in pyridine to yield 1,3-dichloro-6-trifluoromethylphenanthren-9-carboxaldehyde (III). The reaction of (III) with N,N-dibutylbromoacetamide (IV) by means of Zn in THF affords 1,3-dichloro-6-trifluoromethyl-9-[3-(dibutylamino)-3-oxo-1-hydroxypropyl]phenanthrene (V), which is finally reduced with BH3 as before, and treated with HCl.

参考文献No.84663
标题:Antimalarial arylaminopropanols
作者:Colwell, W.T.; et al.
来源:J Med Chem 1972,15771-775
合成路线图解说明:

The reduction of 1,3-dichloro-6-trifluoromethylphenanthrene-9-carboxylic acid (I) with BH3 in THF gives 1,3-dichloro-6-trifluoromethyl-9-hydroxymethylphenanthrene (II), which is oxidized with lead tetracetate in pyridine to yield 1,3-dichloro-6-trifluoromethylphenanthren-9-carboxaldehyde (III). The reaction of (III) with N,N-dibutylbromoacetamide (IV) by means of Zn in THF affords 1,3-dichloro-6-trifluoromethyl-9-[3-(dibutylamino)-3-oxo-1-hydroxypropyl]phenanthrene (V), which is finally reduced with BH3 as before, and treated with HCl.

Drug Information Express,Drug R&D,Chemical Database,Patent Search.
Copyright © 2006-2026 Drug Future. All rights reserved.Contact Us