【药物名称】Acitretin, Etretin, Ro-10-1670, Ro-10-1670/000, Tigason, Soriatane, Neotigason
化学结构式(Chemical Structure):
参考文献No.75282
标题:RO 10-1670
作者:Casta馿r, J.; Hillier, K.
来源:Drugs Fut 1977,2(11),763
合成路线图解说明:

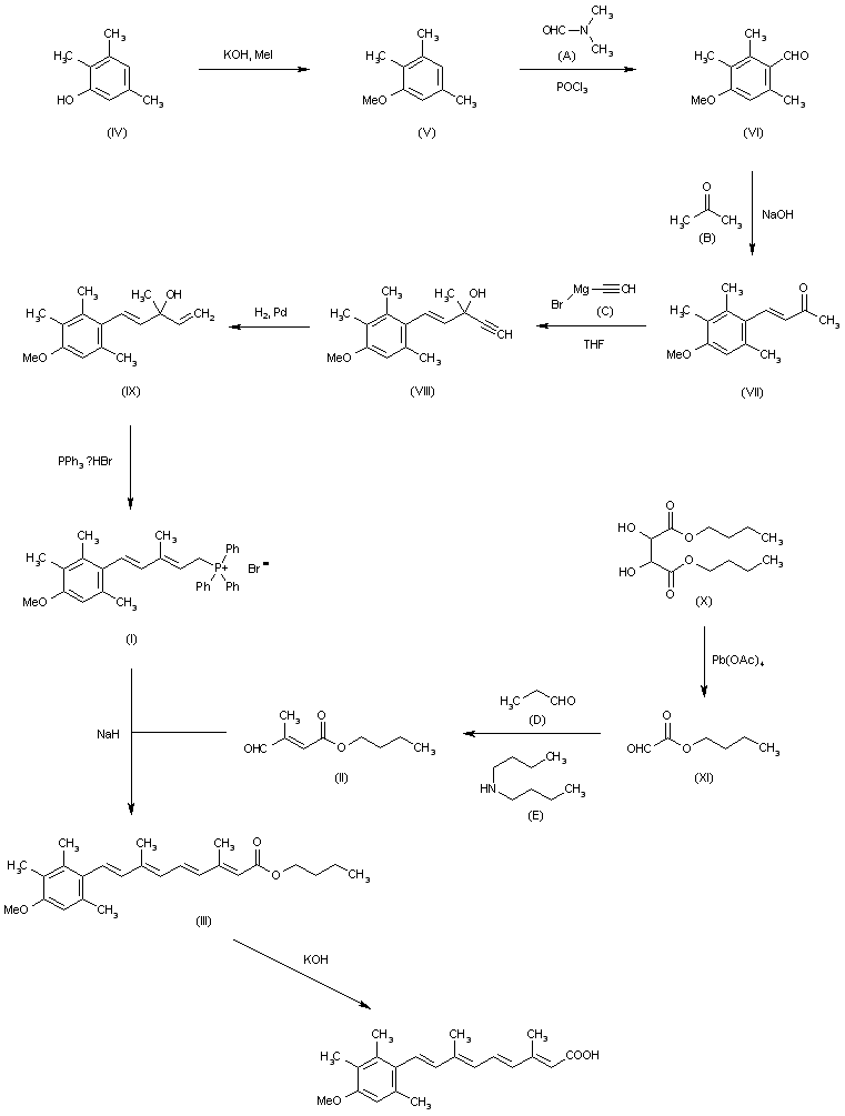
By condensation of 5-(4-methoxy-2,3,6-trimethylphenyl)-3-methylpenta-2,4-diene-1-triphenylphosphonium bromide (I) with 3-formylcrotonic acid butyl ester (II) by means of NaH in DMF to yield 9-(4-methoxy-2,3,6-trimethylphenyl)-3,7-dimethylnona-2,4,6,8-tetraen-1-oic acid butyl ester (III), which is then hydrolyzed with KOH in refluxing ethanol - water. The starting products (I) and (II) are obtained as follows: 1) The methylation of 2,3,5-trimethylphenol (IV) with KOH and methyl iodide in refluxing aqueous ethanol gives 2,3,5-trimethylanisole (V), which is then carbonylated with POCl3 and DMF (A) to afford 4-methoxy-2,3,6-trimethylbenzaldehyde (VI). The condensation of (VI) with acetone (B) by means of NaOH gives 4-(4-methoxy-2,3,6-trimethylphenyl)-3-buten-2-one (VII), which by a Grignard reaction with ethynylmagnesium bromide (C) in THF is converted into 5-(4-methoxy-2,3,6-trimethylphenyl)-3-methyl-3-hydroxy-4-penten-1-yne (VIII). The controlled hydrogenation of (VIII) with H2 over a Pd catalyst in hexane yields 5-(4-methoxy-2,3,6-trimethylphenyl)-3-methyl-3-hydroxy-1,4-pentadiene (IX), which is finally treated with triphenylphosphonium bromide in benzene at 60 C to give the phosphonium salt (I). 2) The oxidation of dibutyl L-(+)-tartrate (X) with lead tetraacetate in benzene gives butyl glyoxalate (XI), which is then condensed with propionic aldehyde (D) by means of dibutylamine (E) to afford ester (II).

参考文献No.701110
标题:Polyene derivatives
作者:Bollag, W.; et al.
来源:BE 0813002; DE 2414619; FR 2223037; GB 1468401; GB 1468402; JP 49126637
合成路线图解说明:

By condensation of 5-(4-methoxy-2,3,6-trimethylphenyl)-3-methylpenta-2,4-diene-1-triphenylphosphonium bromide (I) with 3-formylcrotonic acid butyl ester (II) by means of NaH in DMF to yield 9-(4-methoxy-2,3,6-trimethylphenyl)-3,7-dimethylnona-2,4,6,8-tetraen-1-oic acid butyl ester (III), which is then hydrolyzed with KOH in refluxing ethanol - water. The starting products (I) and (II) are obtained as follows: 1) The methylation of 2,3,5-trimethylphenol (IV) with KOH and methyl iodide in refluxing aqueous ethanol gives 2,3,5-trimethylanisole (V), which is then carbonylated with POCl3 and DMF (A) to afford 4-methoxy-2,3,6-trimethylbenzaldehyde (VI). The condensation of (VI) with acetone (B) by means of NaOH gives 4-(4-methoxy-2,3,6-trimethylphenyl)-3-buten-2-one (VII), which by a Grignard reaction with ethynylmagnesium bromide (C) in THF is converted into 5-(4-methoxy-2,3,6-trimethylphenyl)-3-methyl-3-hydroxy-4-penten-1-yne (VIII). The controlled hydrogenation of (VIII) with H2 over a Pd catalyst in hexane yields 5-(4-methoxy-2,3,6-trimethylphenyl)-3-methyl-3-hydroxy-1,4-pentadiene (IX), which is finally treated with triphenylphosphonium bromide in benzene at 60 C to give the phosphonium salt (I). 2) The oxidation of dibutyl L-(+)-tartrate (X) with lead tetraacetate in benzene gives butyl glyoxalate (XI), which is then condensed with propionic aldehyde (D) by means of dibutylamine (E) to afford ester (II).

参考文献No.702054
标题:A new stereoselective synthesis of acitretin (=Soriatane(R), Neotigason(R))
作者:Andriamialisoa, Z.; et al.
来源:Helv Chim Acta 2002,85(9),2926
合成路线图解说明:

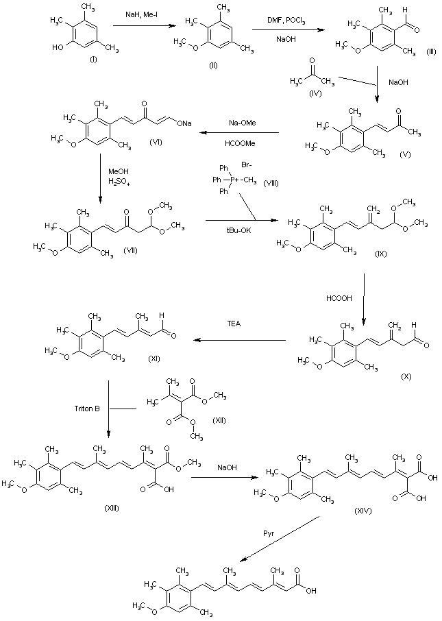
The methylation of 2,3,5-trimethylphenol (I) with NaH and Me-I in DMSO gives 1-methoxy-2,3,5-trimethylbenzene (II), which is condensed with DMF by means of POCl3 and NaOH to yield 4-methoxy-2,3,6-trimethylbenzaldehyde (III). The condensation of benzaldehyde (III) with acetone (IV) by means of NaOH affords the butenone (V). The condensation of (V) with methyl formate by means of NaOMe in ethyl ether provides the sodium enolate (VI), which is treated with MeOH and H2SO4 to obtain the dimethylacetal (VII). The condensation of (VII) with the phosphonium bromide (VIII) by means of tBu-OK in cyclohexane gives the methylene derivative (IX), which is hydrolyzed with formic acid to yield the aldehyde (X). The isomerization of (X) by means of TEA in ethyl ether affords the 5-(4-methoxy-2,3,6-trimethylphenyl)-3-methyl-2,4-pentadienal as a mixture of (E,E) and (Z,E)-isomers that is separated by chromatography. The desired (E,E)-isomer (XI) is condensed with dimethyl isopropylidenemalonate (XII) by means of Triton B in methanol and hydrolyzed with HCl to provide the monoester (XIII), which is saponified with NaOH in methanol/water to give the malonic acid derivative (XIV). Finally, this compound is monodecarboxylated by means of pyridine in dichloromethane to yield the target Acitretin (Etretin).

Drug Information Express,Drug R&D,Chemical Database,Patent Search.
Copyright © 2006-2026 Drug Future. All rights reserved.Contact Us