【药物名称】Dilevalol, Sch-19927, Unicard, Dilevalon, Unicarde, Levadil
化学结构式(Chemical Structure):
参考文献No.46768
标题:A phenylalkylaminoethylsalicylamide, its preparation and pharmaceutical compositions containing it
作者:Gold, E.H.; Chang, W. (Schering Corp.)
来源:CA 1151211; DD 150457; EP 0009702; JP 55055147; ZA 7904872
合成路线图解说明:

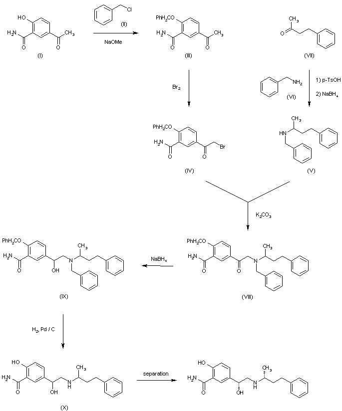
The reaction of 5-acetylsalicylamide (I) with benzyl chloride (II) by means of sodium methoxide in hot DMF gives 4-benzyloxy-3-carbamoylacetophenone (III), which by bromination with Br2 in refluxing CHCl3 is converted into 4-benzyloxy-3-carbamoylphenacyl bromide (IV). The condensation of (IV) with N-(4-phenyl-2-butyl)benzylamine (V) (prepared from benzylamine (VI) and 4-phenyl-2-butanone (VII), p-toluenesulfonic acid and NaBH4 in benzene -methanol) by means of K2CO3 in DMF yields 2-benzyloxy-5-[N-benzyl-N-(1-methyl-3-phenylpropyl)glycyl]benzamide (VIII), which is reduced with NaBH4 in ethanol to afford 2-benzyloxy-5-[1-hydroxy-2-[(4-phenyl-2-butyl)-N-benzylamino]ethyl]benzamide (IX). Finally, this compound is debenzylated by hydrogenolysis with H2 over Pd/C in ethanol. The separation into its optical isomers is performed by conventional methods.

参考文献No.46769
标题:Diastereoisomers of 5-(1-hydroxy-2-(1-methyl-3-phenylpropylamino)ethyl)salicylamide
作者:Gold, E.H.; Chang, W. (Schering Biotech Corp.)
来源:US 4173583
合成路线图解说明:

The reaction of 5-acetylsalicylamide (I) with benzyl chloride (II) by means of sodium methoxide in hot DMF gives 4-benzyloxy-3-carbamoylacetophenone (III), which by bromination with Br2 in refluxing CHCl3 is converted into 4-benzyloxy-3-carbamoylphenacyl bromide (IV). The condensation of (IV) with N-(4-phenyl-2-butyl)benzylamine (V) (prepared from benzylamine (VI) and 4-phenyl-2-butanone (VII), p-toluenesulfonic acid and NaBH4 in benzene -methanol) by means of K2CO3 in DMF yields 2-benzyloxy-5-[N-benzyl-N-(1-methyl-3-phenylpropyl)glycyl]benzamide (VIII), which is reduced with NaBH4 in ethanol to afford 2-benzyloxy-5-[1-hydroxy-2-[(4-phenyl-2-butyl)-N-benzylamino]ethyl]benzamide (IX). Finally, this compound is debenzylated by hydrogenolysis with H2 over Pd/C in ethanol. The separation into its optical isomers is performed by conventional methods.

参考文献No.75298
标题:Sch-19,927
作者:Serradell, M.N.; Casta馿r, J.; Weetman, D.F.; Blancafort, P.
来源:Drugs Fut 1982,7(11),815
合成路线图解说明:

The reaction of 5-acetylsalicylamide (I) with benzyl chloride (II) by means of sodium methoxide in hot DMF gives 4-benzyloxy-3-carbamoylacetophenone (III), which by bromination with Br2 in refluxing CHCl3 is converted into 4-benzyloxy-3-carbamoylphenacyl bromide (IV). The condensation of (IV) with N-(4-phenyl-2-butyl)benzylamine (V) (prepared from benzylamine (VI) and 4-phenyl-2-butanone (VII), p-toluenesulfonic acid and NaBH4 in benzene -methanol) by means of K2CO3 in DMF yields 2-benzyloxy-5-[N-benzyl-N-(1-methyl-3-phenylpropyl)glycyl]benzamide (VIII), which is reduced with NaBH4 in ethanol to afford 2-benzyloxy-5-[1-hydroxy-2-[(4-phenyl-2-butyl)-N-benzylamino]ethyl]benzamide (IX). Finally, this compound is debenzylated by hydrogenolysis with H2 over Pd/C in ethanol. The separation into its optical isomers is performed by conventional methods.

Drug Information Express,Drug R&D,Chemical Database,Patent Search.
Copyright © 2006-2026 Drug Future. All rights reserved.Contact Us