【药物名称】Denzimol, Rec-151533
化学结构式(Chemical Structure):
参考文献No.47231
标题:Imidazole derivs.
作者:Nardi, D.; Tajana, A.; Magistretti, M.J. (Recordati Industria Chimica e Farmaceutica SpA)
来源:DE 2929777
合成路线图解说明:

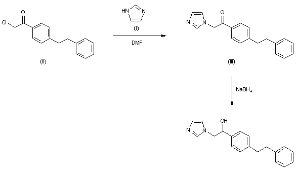
The condensation of imidazole (I) with 4-(phenethyl)phenacyl chloride (II) in DMF gives 1-[4-(phenethyl)phenacyl]imidazole (III), which is then reduced with NaBH4 in refluxing methanol.

参考文献No.70733
标题:Denzimol
作者:Casta馿r, J.; Serradell, M.N.; Blancafort, P.; de Angelis, L.
来源:Drugs Fut 1983,8(11),915
合成路线图解说明:

The condensation of imidazole (I) with 4-(phenethyl)phenacyl chloride (II) in DMF gives 1-[4-(phenethyl)phenacyl]imidazole (III), which is then reduced with NaBH4 in refluxing methanol.

参考文献No.607591
标题:Synthesis and anticonvulsant avtivity of N-(benzoylalkyl)imidazoles and N-(omega-phenyl-omega-hydroxyalkyl)imidazoles
作者:Nardi, D.; Tajana, A.; Leonardi, A.; Pennini, R.; Portioli, F.; Magistretti, M.J.; Subissi, A.
来源:J Med Chem 1981,24(6),727-731
合成路线图解说明:

The condensation of imidazole (I) with 4-(phenethyl)phenacyl chloride (II) in DMF gives 1-[4-(phenethyl)phenacyl]imidazole (III), which is then reduced with NaBH4 in refluxing methanol.

Drug Information Express,Drug R&D,Chemical Database,Patent Search.
Copyright © 2006-2026 Drug Future. All rights reserved.Contact Us