【药物名称】Mifentidine, DA-4577
化学结构式(Chemical Structure):
参考文献No.75288
标题:Mifentidine
作者:Serradell, M.N.; de Angelis, L.; Casta馿r, J.
来源:Drugs Fut 1984,9(11),825
合成路线图解说明:

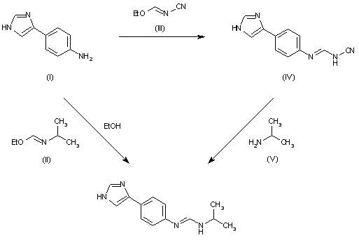
This compound can be obtained through two different ways from 4-(4-aminophenyl)-1H-imidazole (I): 1) By condensation of compound (I) with ethyl N-isopropylformimidate (II) in ethanol. 2) The reaction of compound (I) with ethyl N-cyanoformimidate (III) gives N'-cyano-N-(4-1H-imidazol-4-ylphenyl)formamidine (IV), which is treated with isopropylamine (V).

参考文献No.607707
标题:(Imidazoylphenyl)formamidines. A structurally novel class of potent histamine H2-receptor antagonists
作者:Donetti, A.; Cereda, E.; Bellora, E.; Gallazzi, A.; Bazzano, C.; Vanoni, P.; Del Soldato, P.; Micheletti, R.; Pagani, F.; Giachetti, A.
来源:J Med Chem 1984,27(3),380-386
合成路线图解说明:

This compound can be obtained through two different ways from 4-(4-aminophenyl)-1H-imidazole (I): 1) By condensation of compound (I) with ethyl N-isopropylformimidate (II) in ethanol. 2) The reaction of compound (I) with ethyl N-cyanoformimidate (III) gives N'-cyano-N-(4-1H-imidazol-4-ylphenyl)formamidine (IV), which is treated with isopropylamine (V).

参考文献No.701193
标题:Imidazolylphenyl amidines, pharmaceutical compositions containing same and use thereof
作者:Cereda, E.; Donetti, A.; Del Soldato, P.; Bergamoschi, M.
来源:EP 0053407; ES 8207147; ES 8207148; ES 8207149; ES 8207150; ES 8207151; ES 8207152; GB 2088375; JP 57120575; US 4386099; US 4465841
合成路线图解说明:

This compound can be obtained through two different ways from 4-(4-aminophenyl)-1H-imidazole (I): 1) By condensation of compound (I) with ethyl N-isopropylformimidate (II) in ethanol. 2) The reaction of compound (I) with ethyl N-cyanoformimidate (III) gives N'-cyano-N-(4-1H-imidazol-4-ylphenyl)formamidine (IV), which is treated with isopropylamine (V).

Drug Information Express,Drug R&D,Chemical Database,Patent Search.
Copyright © 2006-2026 Drug Future. All rights reserved.Contact Us