【药物名称】Dazoxiben hydrochloride, UK-37248-01
化学结构式(Chemical Structure):
参考文献No.75284
标题:UK-37,248-01
作者:Sneddon, J.; Casta馿r, J.
来源:Drugs Fut 1981,6(11),693
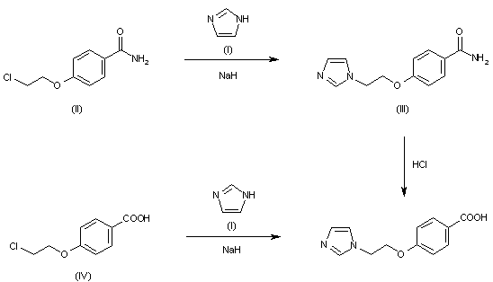
合成路线图解说明:

This compound can be obtained in several different ways: 1) The condensation of imidazole (I) with 4-(2-chloroethoxy)benzamide (II) by means of NaH in DMF gives 1-[2-(4-carbamoylphenoxy)ethyl]imidazole (III), which is hydrolyzed by refluxing with 5N aqueous HCl. 2) Esters of 4-(2-chloroethoxy)benzoic acid (IV) can also be used instead of (II) in the first step of the synthesis. 3) This compound can also be obtained by direct condensation of imidazole (I) with 4-(2-chloroethoxy)benzoic acid (IV) by means of NaH in THF.

参考文献No.310200
标题:A simplified synthesis of dazoxibene
作者:Palei, R.M.; Kochergin, P.M.; Balandina, L.V.; Govorukhina, E.I.; Persanova, L.V.; Frolova, M.A.; Kravchenko, A.N.; Kharitonova, A.E.
来源:Khim Farm Zh 1995,29(2),56
合成路线图解说明:

A new synthesis of dazoxiben has been described: The condensation of methyl 4-hydroxybenzoate (I) with 1,2-dibromoethane (II) by means of NaOH gives methyl 4-(2-bromoethoxy)benzoate (III), which is hydrolyzed with H2SO4 to the corresponding free acid (IV). Finally, this compound is condensed with imidazole (V) in refluxing butanol.

参考文献No.701386
标题:
作者:
来源:DE 2950019
合成路线图解说明:

This compound can be obtained in several different ways: 1) The condensation of imidazole (I) with 4-(2-chloroethoxy)benzamide (II) by means of NaH in DMF gives 1-[2-(4-carbamoylphenoxy)ethyl]imidazole (III), which is hydrolyzed by refluxing with 5N aqueous HCl. 2) Esters of 4-(2-chloroethoxy)benzoic acid (IV) can also be used instead of (II) in the first step of the synthesis. 3) This compound can also be obtained by direct condensation of imidazole (I) with 4-(2-chloroethoxy)benzoic acid (IV) by means of NaH in THF.

Drug Information Express,Drug R&D,Chemical Database,Patent Search.
Copyright © 2006-2026 Drug Future. All rights reserved.Contact Us