【药物名称】Dazmegrel, UK-38485
化学结构式(Chemical Structure):
参考文献No.47234
标题:Inhibition of thromboxane synthetase by 3-(1-imidazolylalkyl)indoles
作者:Cross, P.E.; Dickinson, R.P. (Pfizer Inc.)
来源:NL 8001351
合成路线图解说明:

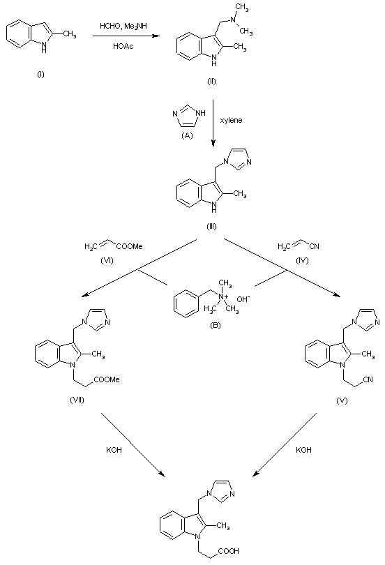
The condensation of 2-methyl-3-(1H-imidazol-1-ylmethyl)indole (III) with acrylonitrile (IV) by means of benzyltrimethylammonium hydroxide (B) in dioxane gives 1-(2-cyanoethyl)-2-methyl-3-(1H-imidazol-1-ylmethyl)indole (V), which is then hydrolyzed with KOH in water. The reaction of compound (III) with methyl acrylate (VI) in the same conditions as before gives 1-(2-methoxy-carbonylethyl)-2-methyl-3-(1H-imidazol-1-ylmethyl)indole (VII), which is also hydrolyzed. Compound (III) can be obtained from 2-methylindole (I).

参考文献No.75286
标题:UK-38485
作者:Serradell, M.N.; Casta馿r, J.; Blancafort, P.; Grau, M.
来源:Drugs Fut 1983,8(11),947
合成路线图解说明:

The condensation of 2-methyl-3-(1H-imidazol-1-ylmethyl)indole (III) with acrylonitrile (IV) by means of benzyltrimethylammonium hydroxide (B) in dioxane gives 1-(2-cyanoethyl)-2-methyl-3-(1H-imidazol-1-ylmethyl)indole (V), which is then hydrolyzed with KOH in water. The reaction of compound (III) with methyl acrylate (VI) in the same conditions as before gives 1-(2-methoxy-carbonylethyl)-2-methyl-3-(1H-imidazol-1-ylmethyl)indole (VII), which is also hydrolyzed. Compound (III) can be obtained from 2-methylindole (I).

参考文献No.800368
标题:K-38485, a novel, selective thromboxane synthetase inhibitor with prolonged activity in vivo
作者:Cross, P.E.; Dickinson, R.P.; Randall, M.J.; Parry, M.J.
来源:N Am Med Chem Symp 1982,68
合成路线图解说明:

The condensation of 2-methyl-3-(1H-imidazol-1-ylmethyl)indole (III) with acrylonitrile (IV) by means of benzyltrimethylammonium hydroxide (B) in dioxane gives 1-(2-cyanoethyl)-2-methyl-3-(1H-imidazol-1-ylmethyl)indole (V), which is then hydrolyzed with KOH in water. The reaction of compound (III) with methyl acrylate (VI) in the same conditions as before gives 1-(2-methoxy-carbonylethyl)-2-methyl-3-(1H-imidazol-1-ylmethyl)indole (VII), which is also hydrolyzed. Compound (III) can be obtained from 2-methylindole (I).

Drug Information Express,Drug R&D,Chemical Database,Patent Search.
Copyright © 2006-2026 Drug Future. All rights reserved.Contact Us