【药物名称】Gammaphos, Ethiofos(former USAN), Amifostine hydrate, SAPEP, YM-08310, NSC-296961, WR-2721, Ethyol
化学结构式(Chemical Structure):
参考文献No.75300
标题:SAPEP
作者:Tabachnik, N.F.; Cerami, A.
来源:Drugs Fut 1980,5(11),558
合成路线图解说明:

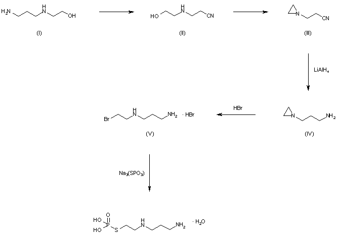
1-(3-Aminopropyl)aziridine (IV) is converted to N-(2-bromoethyl)-1,3-propanediamine dihydrobromide (V) by the addition of HBr. (V) is converted to the thiophosphate WR-2721 (VI) with trisodium thiophosphoroate.

参考文献No.700912
标题:
作者:Love-Gregory, L.; Permutt, M.; Suarez, B.; Wasson, J.; Lin, J.; Sklonick, G.
来源:Walter Reed Army Inst. of Research, Food and Drug Administration IND #5509 1968,Abst 1618
合成路线图解说明:

1-(3-Aminopropyl)aziridine (IV) is converted to N-(2-bromoethyl)-1,3-propanediamine dihydrobromide (V) by the addition of HBr. (V) is converted to the thiophosphate WR-2721 (VI) with trisodium thiophosphoroate.

Drug Information Express,Drug R&D,Chemical Database,Patent Search.
Copyright © 2006-2026 Drug Future. All rights reserved.Contact Us