【药物名称】Wy-44221
化学结构式(Chemical Structure):
参考文献No.75296
标题:WY-44221
作者:Serradell, M.N.; Casta馿r, J.; Blancafort, P.
来源:Drugs Fut 1983,8(11),953
合成路线图解说明:

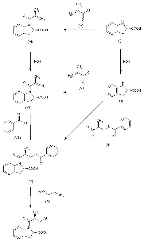
This compound can be obtained by several related ways: 1) The hydrolysis of ethyl indoline 2 carboxylate (I) with KOH in aqueous DMSO gives indoline 2-carboxylic acid (II), which is acylated with 3-(benzoylthio)-2-methylpropanoyl chloride (III) in methylene chloride yielding 1-[3-(benzoylthio)-2-methyl-1-oxopropyl]indoline-2-carboxylic acid (IV). Finally, this compound is debenzoylated by treatment with 2-methoxyethylamine (A). 2) The acylation of (I) with methacryloyl chloride (V) by means of triethylamine in ether yields ethyl 1-methacryloylindoline-2-carboxylate (VI), which is hydrolyzed with KOH in aqueous DMSO affording 1-methacryloylindoline-2-carboxylic acid (VII). Finally, this compound is treated with thiobenzoic acid (VIII) and 4-dimethylaminopyridine in acetone to give (IV), previously synthesized. 3) The acylation of acid (II) with (V) as before also gives (VII).

参考文献No.573863
标题:Mercaptopropanoyl)indoline-2-carboxylic acids and related compounds as potent angiotensin converting enzyme inhibitors and antihypertensive agents
作者:Kim, D.H.; Guinosso, C.J.; Buzby, G.C. Jr.; Herbst, D.R.; McCaully, R.J.; Wicks, T.C.; Wendt, R.L.
来源:J Med Chem 1983,26(3),394-403
合成路线图解说明:

This compound can be obtained by several related ways: 1) The hydrolysis of ethyl indoline 2 carboxylate (I) with KOH in aqueous DMSO gives indoline 2-carboxylic acid (II), which is acylated with 3-(benzoylthio)-2-methylpropanoyl chloride (III) in methylene chloride yielding 1-[3-(benzoylthio)-2-methyl-1-oxopropyl]indoline-2-carboxylic acid (IV). Finally, this compound is debenzoylated by treatment with 2-methoxyethylamine (A). 2) The acylation of (I) with methacryloyl chloride (V) by means of triethylamine in ether yields ethyl 1-methacryloylindoline-2-carboxylate (VI), which is hydrolyzed with KOH in aqueous DMSO affording 1-methacryloylindoline-2-carboxylic acid (VII). Finally, this compound is treated with thiobenzoic acid (VIII) and 4-dimethylaminopyridine in acetone to give (IV), previously synthesized. 3) The acylation of acid (II) with (V) as before also gives (VII).

参考文献No.607679
标题:Angiotensin converting enzyme inhibitors: N-Substituted monocyclic and bibyvlic amino acid deivatives
作者:Stanton, J.L.; Gruenfeld, N.; Babiarz, J.E.; Ackerman, M.H.; Friedmann, R.C.; Yuan, A.M.; Macchia, W.
来源:J Med Chem 1983,26(9),1267-77
合成路线图解说明:

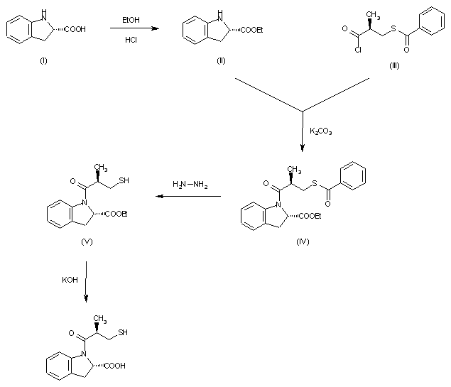
The esterification of indoline-2-carboxylic acid (I) with ethanol HCl gives the corresponding ethyl ester (II), which is acylated with 3-(benzoylthio)-2-methylpropionyl chloride (III) by means of K2CO3 in methylene chloride yielding ethyl N-[3-(benzoylthio)-2-methylpropionyl]indoline-2-carboxylate (IV). The deprotection of (IV) with hydrazine in the same solvent affords ethyl N-(3-mercapto-2-methylpropionyl)indoline-2-carboxylate (V), which is finally saponified with KOH in methanol water.

Drug Information Express,Drug R&D,Chemical Database,Patent Search.
Copyright © 2006-2026 Drug Future. All rights reserved.Contact Us