【药物名称】Nicainoprol, RU-42924, CAS-924
化学结构式(Chemical Structure):
参考文献No.61922
标题:Nicainoprol
作者:Casta馿r, J.; Serradell, M.N.; Hillier, K.
来源:Drugs Fut 1984,9(10),749
合成路线图解说明:

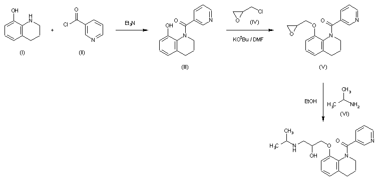
The acylation of 8-hydroxy-1,2,3,4-tetrahydroquinoline (I) with nicotinoyl chloride (II) by means of triethylamine in benzene gives 8-hydroxy-1-nicotinoyl-1,2,3,4-tetrahydroquinoline (III), which is condensed with epichlorohydrin (IV) by means of potassium tert-butoxide in DMF to yield 1-nicotinoyl-8-(2,3-epoxy-1-propoxy)-1,2,3,4-tetrahydroquinoline (V). Finally, this compound is condensed with isopropylamine (VI) in ethanol.

参考文献No.701202
标题:1-Acyl-8-(3-amino-2-hydroxypropoxy)-1,2,3,4-tetrahydroquinolines, compositions and use
作者:Graewinger, O.; Raabe, T.; Beyerle, R.; Scholtholt, J.; Nitz, R.E.
来源:DD 153368; DE 2934609; EP 0025864; JP 56034668; US 4335123
合成路线图解说明:

The acylation of 8-hydroxy-1,2,3,4-tetrahydroquinoline (I) with nicotinoyl chloride (II) by means of triethylamine in benzene gives 8-hydroxy-1-nicotinoyl-1,2,3,4-tetrahydroquinoline (III), which is condensed with epichlorohydrin (IV) by means of potassium tert-butoxide in DMF to yield 1-nicotinoyl-8-(2,3-epoxy-1-propoxy)-1,2,3,4-tetrahydroquinoline (V). Finally, this compound is condensed with isopropylamine (VI) in ethanol.

Drug Information Express,Drug R&D,Chemical Database,Patent Search.
Copyright © 2006-2026 Drug Future. All rights reserved.Contact Us