【药物名称】Midazogrel, CBS-645
化学结构式(Chemical Structure):
参考文献No.47238
标题:Therapeutic compsn. based on imidazoles, especially for the treatment of thromboses; imidazoles and process for their preparation
作者:Bonne, C.; Coquelet, C.; Sincholle, D. (Chauvin Laboratories SA)
来源:EP 0033432
合成路线图解说明:

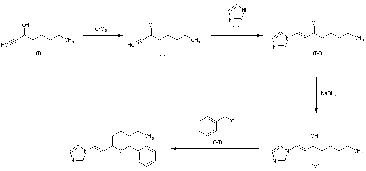
The Oxidation of 1-octyn-3-ol (I) with chromium trioxide gives the 3-oxooctyne (II), which by reaction with imidazole (III) yields (E)-1-(3-oxoocten-1-yl)imidazole (IV). Reduction of this compound with sodium borohydride gives (E)-1,3-hydroxyocten-1-yl)imidazole (V) . Finally, the latter is etherified with benzyl chloride (VI).

参考文献No.61902
标题:CBS-645
作者:Blancafort, P.; Serradell, M.N.; Casta馿r, J.
来源:Drugs Fut 1983,8(10),843
合成路线图解说明:

The Oxidation of 1-octyn-3-ol (I) with chromium trioxide gives the 3-oxooctyne (II), which by reaction with imidazole (III) yields (E)-1-(3-oxoocten-1-yl)imidazole (IV). Reduction of this compound with sodium borohydride gives (E)-1,3-hydroxyocten-1-yl)imidazole (V) . Finally, the latter is etherified with benzyl chloride (VI).

参考文献No.701274
标题:
作者:Pailer, N.; Gutwiller, H.
来源:Mh Chem 1977,108(Suppl. 1),653
合成路线图解说明:

The Oxidation of 1-octyn-3-ol (I) with chromium trioxide gives the 3-oxooctyne (II), which by reaction with imidazole (III) yields (E)-1-(3-oxoocten-1-yl)imidazole (IV). Reduction of this compound with sodium borohydride gives (E)-1,3-hydroxyocten-1-yl)imidazole (V) . Finally, the latter is etherified with benzyl chloride (VI).

Drug Information Express,Drug R&D,Chemical Database,Patent Search.
Copyright © 2006-2026 Drug Future. All rights reserved.Contact Us