【药物名称】Froxiprost, Ono-995
化学结构式(Chemical Structure):
参考文献No.61914
标题:ONO-995
作者:Casta馿r, J.; Riberos, J.
来源:Drugs Fut 1980,5(10),499
合成路线图解说明:

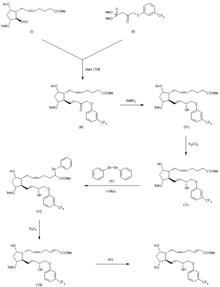
The Wittig reaction of 1alpha-acetoxy-2alpha-(6-methoxycarbonyl-hex-2-cis-enyl)-3beta-formyl-4alpha-(2-tetrahydropyranyloxy)cyclopentane (I) and dimethyl 2-oxo-3-(3-trifluoromethylphenoxy)propylphosphonate (II) by means of NaH in hot THF gives 9alpha-acetoxy-11alpha-(2-tetrahydropyranyloxy)-15-oxo-16-(3-trifluoromethylphenoxy)-17,18,19,20-tetranorprosta-5-cis-13-trans-dienoate (III), which is reduced with NaBH4 in methanol yielding the protected trihydroxy compound (IV). The partial hydrolysis of (IV) with K2CO3 in methanol affords the dihydroxytetrahydropyranyloxy compound (V), which by reaction with diphenyldiselenide (A) by means of 17-butyllithium and diisopropylamine in THF is converted into the mixed selenide (VI). The treatment of (VI) with H2O2 in THF-ethyl acetate gives methyl 9alpha,15alpha-dihydroxy-11alpha-(2-tetra)-17,18,19,20-tetranorprosta-2-trans-5-cis-13-trans-trienoate (VII), which is finally treated with HCl in THF-water to eliminate the tetrahydropyranyl group.

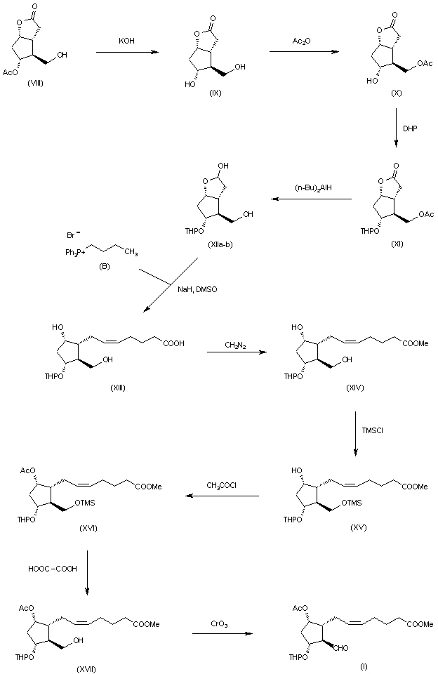
合成路线图解说明:

The hydrolysis of 2-oxa-3-oxo-6-syn-hydroxymethyl-7-anti-acetoxy-cis-bicyclo[3.3.0]octane (VIII) (2) with KOH in methanol gives the dihydroxy compound (IX), which is acetylated with acetic anhydride in pyridine to give the acetoxymethyl compound (X). The treatment of (X) with dihydropyran and p-toluenesulfonic acid in methylene chloride affords the tetrahydropyranyl derivative (XI), which is reduced with diisobutylaluminum hydride in toluene to yield 2-oxa-3-hydroxy-6-syn-hydroxymethyl-7-anti-(2-tetrahydropyranyloxy)-cis-bicyclo[3.3.0]octane (XII). The Wittig reaction of (XII) with 4-carboxybutyltriphenylphosphonium bromide (B) by means of NaH in DMSO gives 2alpha-(6-carboxyhex-2-cis-enyl)-3beta-hydroxymethyl-4alpha-(2-tetrahydropyranyloxy)cyclopentan-1alpha-ol (XIII), which is esterified with CH2N2 to the corresponding methyl ester (XIV). The reaction of (XIV) with trimethylchlorosilane in pyridine - methylene chloride gives the monotrimethylsilyl derivative (XV), which is acetylated with acetyl chloride affording the fully protected compound (XVI). The partial hydrolysis of (XVI) with oxalic acid in water-ethyl acetate yields the compound (XVII) with a free hydroxymethyl group, which is finally oxidized with CrO3 in methylene chloride pyridine to give the starting 1alpha-acetoxy-2alpha-(6-methoxycarbonylhex-2-cis-enyl)-3beta-formyl-4alpha-(2-tetrahydropyranyloxy)cyclopentane (I).

合成路线图解说明:

The reaction of 3-trifluoromethylphenol (XVIII) with ethyl chloroacetate (XIX) by means of NaI and K2CO3 in acetone gives ethyl-(3-trifluoromethylphenoxy)acetate (XX), which is then condensed with dimethyl methylphosphonate (C) by means of butyllithium in THF to afford dimethyl 2-oxo-3-(3-trifluoromethylphenoxy)propylphosphonate (II).

参考文献No.701417
标题:
作者:Hayashi, M.; et al.
来源:US 4065632
合成路线图解说明:

The Wittig reaction of 1alpha-acetoxy-2alpha-(6-methoxycarbonyl-hex-2-cis-enyl)-3beta-formyl-4alpha-(2-tetrahydropyranyloxy)cyclopentane (I) and dimethyl 2-oxo-3-(3-trifluoromethylphenoxy)propylphosphonate (II) by means of NaH in hot THF gives 9alpha-acetoxy-11alpha-(2-tetrahydropyranyloxy)-15-oxo-16-(3-trifluoromethylphenoxy)-17,18,19,20-tetranorprosta-5-cis-13-trans-dienoate (III), which is reduced with NaBH4 in methanol yielding the protected trihydroxy compound (IV). The partial hydrolysis of (IV) with K2CO3 in methanol affords the dihydroxytetrahydropyranyloxy compound (V), which by reaction with diphenyldiselenide (A) by means of 17-butyllithium and diisopropylamine in THF is converted into the mixed selenide (VI). The treatment of (VI) with H2O2 in THF-ethyl acetate gives methyl 9alpha,15alpha-dihydroxy-11alpha-(2-tetra)-17,18,19,20-tetranorprosta-2-trans-5-cis-13-trans-trienoate (VII), which is finally treated with HCl in THF-water to eliminate the tetrahydropyranyl group.

合成路线图解说明:

The hydrolysis of 2-oxa-3-oxo-6-syn-hydroxymethyl-7-anti-acetoxy-cis-bicyclo[3.3.0]octane (VIII) (2) with KOH in methanol gives the dihydroxy compound (IX), which is acetylated with acetic anhydride in pyridine to give the acetoxymethyl compound (X). The treatment of (X) with dihydropyran and p-toluenesulfonic acid in methylene chloride affords the tetrahydropyranyl derivative (XI), which is reduced with diisobutylaluminum hydride in toluene to yield 2-oxa-3-hydroxy-6-syn-hydroxymethyl-7-anti-(2-tetrahydropyranyloxy)-cis-bicyclo[3.3.0]octane (XII). The Wittig reaction of (XII) with 4-carboxybutyltriphenylphosphonium bromide (B) by means of NaH in DMSO gives 2alpha-(6-carboxyhex-2-cis-enyl)-3beta-hydroxymethyl-4alpha-(2-tetrahydropyranyloxy)cyclopentan-1alpha-ol (XIII), which is esterified with CH2N2 to the corresponding methyl ester (XIV). The reaction of (XIV) with trimethylchlorosilane in pyridine - methylene chloride gives the monotrimethylsilyl derivative (XV), which is acetylated with acetyl chloride affording the fully protected compound (XVI). The partial hydrolysis of (XVI) with oxalic acid in water-ethyl acetate yields the compound (XVII) with a free hydroxymethyl group, which is finally oxidized with CrO3 in methylene chloride pyridine to give the starting 1alpha-acetoxy-2alpha-(6-methoxycarbonylhex-2-cis-enyl)-3beta-formyl-4alpha-(2-tetrahydropyranyloxy)cyclopentane (I).

合成路线图解说明:

The reaction of 3-trifluoromethylphenol (XVIII) with ethyl chloroacetate (XIX) by means of NaI and K2CO3 in acetone gives ethyl-(3-trifluoromethylphenoxy)acetate (XX), which is then condensed with dimethyl methylphosphonate (C) by means of butyllithium in THF to afford dimethyl 2-oxo-3-(3-trifluoromethylphenoxy)propylphosphonate (II).

Drug Information Express,Drug R&D,Chemical Database,Patent Search.
Copyright © 2006-2026 Drug Future. All rights reserved.Contact Us