【药物名称】3-Deazauridine, NSC-126849, DAU
化学结构式(Chemical Structure):
参考文献No.61881
标题:3-Deazauridine
作者:Chang, P.
来源:Drugs Fut 1984,9(10),739
合成路线图解说明:

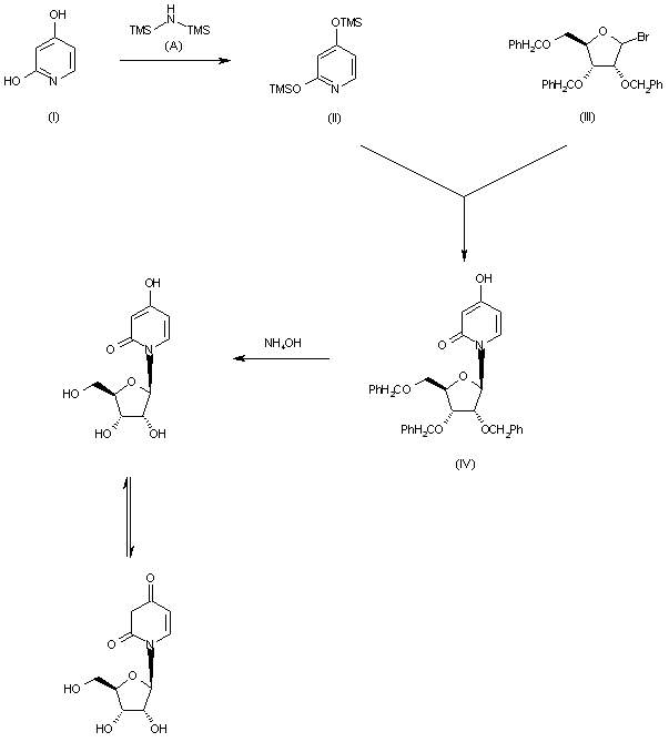
Treatment of 2,4-dihydroxypyridine (I) with hexamethyldisilazane (A) gives 2,4-bis(trimethylsilyloxy)pyridine (II). Condensation of (II) with 2,3,5-tri-O-benzoyl-D-ribofuranosyl bromide (III) gives a 68% yield 2',3',5'-tri-O-benzoyl-3-deazauridine (IV). Deblocking of (IV) with alcoholic ammonia gives 3-deazauridine in 88% crude yield.

参考文献No.800306
标题:The synthesis of 3-deazapyrimidine nucleosides related to uridine and cytidine and their derivatives
作者:Currie, B.L.; et al.
来源:J Heterocycl Chem 1970,7323-329
合成路线图解说明:

Treatment of 2,4-dihydroxypyridine (I) with hexamethyldisilazane (A) gives 2,4-bis(trimethylsilyloxy)pyridine (II). Condensation of (II) with 2,3,5-tri-O-benzoyl-D-ribofuranosyl bromide (III) gives a 68% yield 2',3',5'-tri-O-benzoyl-3-deazauridine (IV). Deblocking of (IV) with alcoholic ammonia gives 3-deazauridine in 88% crude yield.

参考文献No.800307
标题:Synthesis of 3-deazauridine-[4-hydoxy-1-(beta-D-ribofuranosyl)-2-pyridone]
作者:Currie, B.L.; et al.
来源:Chem Commun 1968,1547-48
合成路线图解说明:

Treatment of 2,4-dihydroxypyridine (I) with hexamethyldisilazane (A) gives 2,4-bis(trimethylsilyloxy)pyridine (II). Condensation of (II) with 2,3,5-tri-O-benzoyl-D-ribofuranosyl bromide (III) gives a 68% yield 2',3',5'-tri-O-benzoyl-3-deazauridine (IV). Deblocking of (IV) with alcoholic ammonia gives 3-deazauridine in 88% crude yield.

Drug Information Express,Drug R&D,Chemical Database,Patent Search.
Copyright © 2006-2026 Drug Future. All rights reserved.Contact Us