【药物名称】Artemisininelactol methyl ether, Artemether, SM-224, Artemos, Artenam, Artemetheri, Paluther
化学结构式(Chemical Structure):
参考文献No.61897
标题:Artemether
作者:Ru-yun, J.
来源:Drugs Fut 1982,7(10),716
合成路线图解说明:

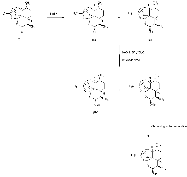
Reduction of qinghaosu (artemisine) (I) by means of sodium borohydride gives a hemiacetal, artemisininelactol (II). Interaction of the latter compound with methanol in the presence of boron triftuoride gives artemether. It can be prepared even more easily by treating artemisininelactol with methanol in acidic medium. The epimers can be separated by chromatography. However, the product without separation of epimers has been used for clinical studies.

参考文献No.699662
标题:A one-pot conversion of artemisinin to its ether derivatives
作者:Singh, C.; Tiwari, P.
来源:Tetrahedron Lett 2002,43(40),7235
合成路线图解说明:

Reduction of qinghaosu (artemisine) (I) by means of sodium borohydride gives a hemiacetal, artemisininelactol (II). Interaction of the latter compound with methanol in the presence of boron triftuoride gives artemether. It can be prepared even more easily by treating artemisininelactol with methanol in acidic medium. The epimers can be separated by chromatography. However, the product without separation of epimers has been used for clinical studies.

合成路线图解说明:

Reduction of artemisinin (I) with sodium borohydride provides dihydroartemisinin (II) (1-5). Subsequent treatment of hemiacetal (II) with ethanol in the presence of acid catalysts, such as BF3稥t2O (1), ClSiMe3 (2), p TsOH (6-8), AlCl3 (7, 8) or cation-exchange resins (3, 7, 8) gives rise to the target beta-ethoxy acetal as the major diastereoisomer. Alternatively, dihydroartemisinin (II) is first dehydrated to the enol ether (III) employing P2O5 in CH2Cl2. Addition of EtOH to (III) in the presence of PPh3稨Br then produces a mixture of the target compound and its 11-alpha epimer (IV), along with minor amounts of their 12-alpha ethoxy analogues (4). The analogous synthesis employing EtO2H or EtO3H yields the corresponding 11-deuterium or 11-tritium labelled compounds (9).

参考文献No.800195
标题:The chemistry and synthesis of qinghaosu derivatives
作者:
来源:J Tradit Chin Med 1982,2(1),9-16
合成路线图解说明:

Reduction of qinghaosu (artemisine) (I) by means of sodium borohydride gives a hemiacetal, artemisininelactol (II). Interaction of the latter compound with methanol in the presence of boron triftuoride gives artemether. It can be prepared even more easily by treating artemisininelactol with methanol in acidic medium. The epimers can be separated by chromatography. However, the product without separation of epimers has been used for clinical studies.

Drug Information Express,Drug R&D,Chemical Database,Patent Search.
Copyright © 2006-2026 Drug Future. All rights reserved.Contact Us