【药物名称】Docebenone, A-61589, AA-861
化学结构式(Chemical Structure):
参考文献No.46487
标题:Quinone compounds and their use in suppressing the production of SRS-A in mammals
作者:Terao, S.; Shiraishi, M.; Maki, Y. (Takeda Chemical Industries, Ltd.)
来源:EP 0038160; GB 2074158; JP 81145280; JP 81154433; JP 82109739
合成路线图解说明:

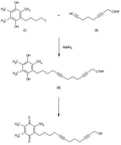
The condensation of 2,5,6-trimethyl-3-(4-iodobutyl)hydroquinone (I) with octa-2,7-diyn-1-ol tetrahydropyranyl ether (II) by means of sodium amide in liquid ammonia gives 2,5,6-trimethyl-3-[12-(tetrahydropyranyloxy)-5,10-dodecadiynyl]hydroquinone (III), which is oxidized with ceric ammonium nitrate in aqueous acetonitrile and deprotected in the usual way.

参考文献No.61942
标题:AA-861
作者:Hillier, K.; Casta馿r, J.; Serradell, M.N.
来源:Drugs Fut 1984,9(10),725
合成路线图解说明:

The condensation of 2,5,6-trimethyl-3-(4-iodobutyl)hydroquinone (I) with octa-2,7-diyn-1-ol tetrahydropyranyl ether (II) by means of sodium amide in liquid ammonia gives 2,5,6-trimethyl-3-[12-(tetrahydropyranyloxy)-5,10-dodecadiynyl]hydroquinone (III), which is oxidized with ceric ammonium nitrate in aqueous acetonitrile and deprotected in the usual way.

Drug Information Express,Drug R&D,Chemical Database,Patent Search.
Copyright © 2006-2026 Drug Future. All rights reserved.Contact Us