【药物名称】Piquindone((-)-enantiomer), Ro-221319
化学结构式(Chemical Structure):
参考文献No.47233
标题:Isoquinoline derivs., process for their preparation, intermediates and pharmaceutical compsns. containing them
作者:Berger, L.; Olson, G.L. (F. Hoffmann-La Roche AG)
来源:EP 0010661
合成路线图解说明:

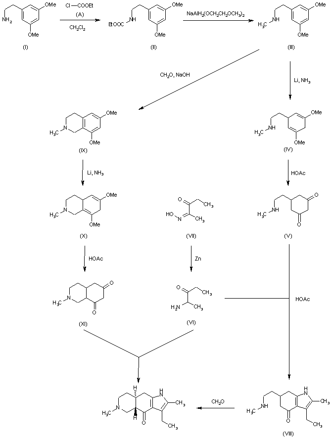
This compound can be prepared by two related ways: 1) The reaction of (3,5-dimethoxyphenyl)ethylamine (I) with ethyl chlorocarbonate (A) in CH2Cl2 gives ethyl N-[2-(3,5-dimethoxyphenyl)ethyl]carbamate (II), which is reduced with sodium dihydro-bis(2-methoxyethyl)aluminate in THF yielding N-methyl-(3,5-dimethoxyphenyl)ethylamine (III). Partial hydrogenation of (III) with Li in dry NH3 affords N-methyl-1,5-dimethoxycyclohexa-1,4-diene-3-ethylamine (IV), which is hydrolyzed with refluxing aqueous acetic acid giving 3-[2-(methylamino)ethyl]cyclohexane-1,5-dione (V). The cyclocondensation of (V) with 2-amino-3-pentanone (VI) [prepared by reduction with Zn of 2-isonitroso-3-pentanone (VII)] in refluxing acetic acid yields 6-[2-(N-methylamino)ethyl]-2-methyl-3-ethyl-6,7-dihydro-(5H)-4(1H,5H)indolone (VIII). Finally, this compound is cyclized again with formaldehyde in refluxing octanol. 2) The cyclization of (III) with formaldehyde as before gives 3,4-dihydro-1H-6,8-dimethoxy-2-methylisoquinoline (IX), which is reduced partially with Li in dry NH3 as before yielding 1,2,3,4,4a,7-hexahydro-6,8-dimethoxy-2-methylisoquinoline (X). The hydrolysis of (X) with refluxing acetic acid affords octahydro-2-methylisoquinolin-6,8-dione (XI), which is then cyclized with (VI) as before. The racemic base is resolved by treatment with d-(+)-tartaric acid in methanol and a fractional crystallization.

参考文献No.61904
标题:RO-22-1319
作者:Serradell, M.N.; Blancafort, P.; Owen, R.T.; Casta馿r, J.
来源:Drugs Fut 1983,8(10),869
合成路线图解说明:

This compound can be prepared by two related ways: 1) The reaction of (3,5-dimethoxyphenyl)ethylamine (I) with ethyl chlorocarbonate (A) in CH2Cl2 gives ethyl N-[2-(3,5-dimethoxyphenyl)ethyl]carbamate (II), which is reduced with sodium dihydro-bis(2-methoxyethyl)aluminate in THF yielding N-methyl-(3,5-dimethoxyphenyl)ethylamine (III). Partial hydrogenation of (III) with Li in dry NH3 affords N-methyl-1,5-dimethoxycyclohexa-1,4-diene-3-ethylamine (IV), which is hydrolyzed with refluxing aqueous acetic acid giving 3-[2-(methylamino)ethyl]cyclohexane-1,5-dione (V). The cyclocondensation of (V) with 2-amino-3-pentanone (VI) [prepared by reduction with Zn of 2-isonitroso-3-pentanone (VII)] in refluxing acetic acid yields 6-[2-(N-methylamino)ethyl]-2-methyl-3-ethyl-6,7-dihydro-(5H)-4(1H,5H)indolone (VIII). Finally, this compound is cyclized again with formaldehyde in refluxing octanol. 2) The cyclization of (III) with formaldehyde as before gives 3,4-dihydro-1H-6,8-dimethoxy-2-methylisoquinoline (IX), which is reduced partially with Li in dry NH3 as before yielding 1,2,3,4,4a,7-hexahydro-6,8-dimethoxy-2-methylisoquinoline (X). The hydrolysis of (X) with refluxing acetic acid affords octahydro-2-methylisoquinolin-6,8-dione (XI), which is then cyclized with (VI) as before. The racemic base is resolved by treatment with d-(+)-tartaric acid in methanol and a fractional crystallization.

参考文献No.607592
标题:A dopamine receprtor model and its application in the design of a new class of igid pyrrolo[2,3-g]isoquinoline anti-psychotics
作者:Olson, G.L.; Cheung, H.-C.; Morgan, K.D.; Blount, J.F.; Todaro, L.; Berger, L.; Davidson, A.B.; Boff, E.
来源:J Med Chem 1981,24(9),1026-34
合成路线图解说明:

This compound can be prepared by two related ways: 1) The reaction of (3,5-dimethoxyphenyl)ethylamine (I) with ethyl chlorocarbonate (A) in CH2Cl2 gives ethyl N-[2-(3,5-dimethoxyphenyl)ethyl]carbamate (II), which is reduced with sodium dihydro-bis(2-methoxyethyl)aluminate in THF yielding N-methyl-(3,5-dimethoxyphenyl)ethylamine (III). Partial hydrogenation of (III) with Li in dry NH3 affords N-methyl-1,5-dimethoxycyclohexa-1,4-diene-3-ethylamine (IV), which is hydrolyzed with refluxing aqueous acetic acid giving 3-[2-(methylamino)ethyl]cyclohexane-1,5-dione (V). The cyclocondensation of (V) with 2-amino-3-pentanone (VI) [prepared by reduction with Zn of 2-isonitroso-3-pentanone (VII)] in refluxing acetic acid yields 6-[2-(N-methylamino)ethyl]-2-methyl-3-ethyl-6,7-dihydro-(5H)-4(1H,5H)indolone (VIII). Finally, this compound is cyclized again with formaldehyde in refluxing octanol. 2) The cyclization of (III) with formaldehyde as before gives 3,4-dihydro-1H-6,8-dimethoxy-2-methylisoquinoline (IX), which is reduced partially with Li in dry NH3 as before yielding 1,2,3,4,4a,7-hexahydro-6,8-dimethoxy-2-methylisoquinoline (X). The hydrolysis of (X) with refluxing acetic acid affords octahydro-2-methylisoquinolin-6,8-dione (XI), which is then cyclized with (VI) as before. The racemic base is resolved by treatment with d-(+)-tartaric acid in methanol and a fractional crystallization.

Drug Information Express,Drug R&D,Chemical Database,Patent Search.
Copyright © 2006-2026 Drug Future. All rights reserved.Contact Us