【药物名称】Carvedilol, SK&F-105517, DQ-2466, BM-14190, Coreg CR, Querto, Dibloc, Coropress, Eucardic, Coreg, Artist, Dimitone, Dilatrend, Kredex
化学结构式(Chemical Structure):
参考文献No.43045
标题:Carbazolyl-(4)-oxypropanolamine compounds and therapeutic compositions
作者:Wiedemann, F.; Kampe, W.; Thiel, M.; Sponer, G.; Roesch, E.; Dietmann, H. (Roche Diagnostics GmbH)
来源:DE 2815926; EP 0004920; ES 479396; JP 54157558; US 4503067
合成路线图解说明:

By condensation of 4-(2,3-epoxypropoxy)carbazole (I) with 2-(2-methoxyphenoxy)ethylamine (II) at 70 C in diglime.

参考文献No.53111
标题:Carvedilol
作者:Aronhime, J.; Dolitzky, B.-Z.; Finogueev, S.; Kor, I.; Ben-Valid, S.; Hildesheim, J. (Teva Pharmaceutical Industries Ltd.; Teva Pharmaceuticals USA, Inc.)
来源:WO 0200216
合成路线图解说明:

By condensation of 4-(2,3-epoxypropoxy)carbazole (I) with 2-(2-methoxyphenoxy)ethylamine (II) at 70 C in diglime.

参考文献No.53720
标题:Process and intermediates for preparing 1-[9'H-carbazol-4'-yloxy]-3-[2''-(2'''-methoxy-phenoxy)ethyl]amino]-propan-2-ol (carvedilol)
作者:Seres, P.; Cselenyak, J.; Nagy, K.; Simig, G.; Gregor, T.; Nagy, P.K.; Greff, Z.; Balazs, L.; Barkoczy, J.; Vereczkey, G.D.; Nemeth, N.; Szabo, T.; Ratkai, Z.; Doman, I. (Egis Pharmaceuticals Ltd.)
来源:EP 0918055
合成路线图解说明:

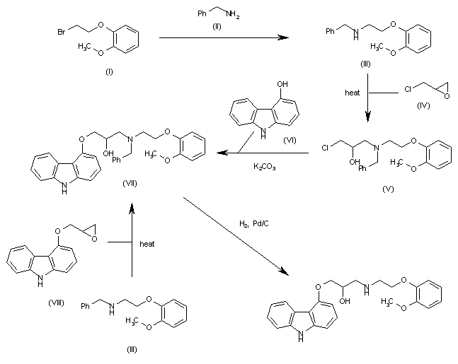
This compound has been obtained in two related ways: 1. The reaction of 2-(2-bromoethoxy)anisole (I) with benzylamine (II) by heating at 80 C gives the secondary amine (III), which is condensed with epichlorohydrin (IV) by heating at 60 C to yield the isopropanol derivative (V). The condensation of (V) with 4-hydroxycarbazole (VI) by means of K2CO3 in refluxing dioxane affords the adduct (VII), which is finally debenzylated by hydrogenolysis with H2 over Pd/C in ethanol/water. 2. The condensation of the secondary amine (III) with 4-(2,3-epoxypropoxy)carbazole (VIII) in refluxing ethanol gives the already reported adduct (VII), which is debenzylated as indicated.

参考文献No.61885
标题:BM-14,190
作者:Grau, M.; Serradell, M.N.; Casta馿r, J.; Blancafort, P.
来源:Drugs Fut 1983,8(10),841
合成路线图解说明:

By condensation of 4-(2,3-epoxypropoxy)carbazole (I) with 2-(2-methoxyphenoxy)ethylamine (II) at 70 C in diglime.

Drug Information Express,Drug R&D,Chemical Database,Patent Search.
Copyright © 2006-2026 Drug Future. All rights reserved.Contact Us