【药物名称】Ebselen, DR-3305, PZ-51, Harmokisane
化学结构式(Chemical Structure):
参考文献No.46052
标题:2-Phenyl-1,2-benzisoselenazol-3(2H)-one containing pharmaceutical preparations and process for the treatment or rheumatic diseases
作者:Renson, M.; Etschenberg, E.; Winkelmann, J. (A. Nattermann & Cie. GmbH)
来源:DE 3027073; EP 0044971; JP 8256427; US 4352799
合成路线图解说明:

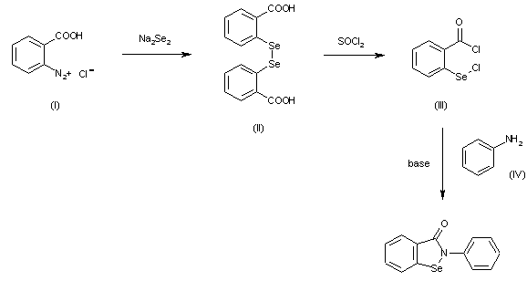
The neutralized diazonium salt of anthranilic acid (I) is treated with sodium diselenide yielding diselenosalicylic acid (II), which is treated with thionyl chloride to give the selenenyl chloride (III). Treatment of (III) with aniline (IV) in the presence of a base affords PZ-51.

参考文献No.61918
标题:Ebselen
作者:Graf, E.; Dereu, N.
来源:Drugs Fut 1984,9(10),741
合成路线图解说明:

The neutralized diazonium salt of anthranilic acid (I) is treated with sodium diselenide yielding diselenosalicylic acid (II), which is treated with thionyl chloride to give the selenenyl chloride (III). Treatment of (III) with aniline (IV) in the presence of a base affords PZ-51.

参考文献No.331744
标题:Reactions of 2,2'-diselenobis(N-alkylbenzamides) with peroxides: A free-radical synthesis of ebselen and related analogues
作者:Fong, M.C.; Schiesser, C.H.
来源:Tetrahedron Lett 1995,36(40),7329
合成路线图解说明:

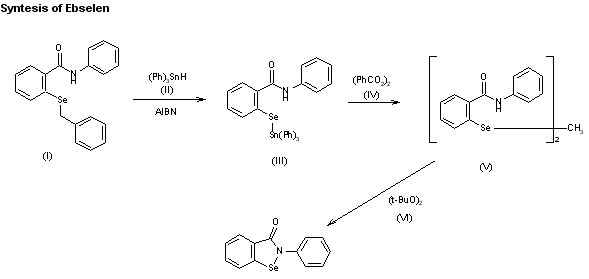
A new synthesis of ebselen has been published: The radical reaction of 2-(benzylseleno)-N-phenylbenzamide (I) with triphenyltin hydride (II) and AIBN in refluxing benzene gives N-phenyl-2-(triphenylstannylseleno)benzamide (III), which is treated with dibenzoyl peroxide (IV) in refluxing benzene to yield the diselenide (V). Finally, the diselenide (V) was treated with di-tert-butyl peroxide (VI) in chlorobenzene at 120 C. This reaction cannot be carried out in refluxing benzene due to the extreme insolubility of (V) in benzene.

参考文献No.354135
标题:Synthesis of 2-phenyl-1,2-benziso[Se-77]selenazol-3(2H)-one: 'Ebselen'
作者:Oppenheimer, J.; Silks, L.A.
来源:J Label Compd Radiopharm 1996,38(3),281
合成路线图解说明:

A new synthesis of ebselen has been reported: The reaction of benzanilide (I) first with lithium diisopropylamide and then with butyllithium in THF gives the dianion (II), which is treated with freshly sublimed selenium to afford the insertion dianion (III). Finally, this compound is cyclized with CuBr2 in the same solvent. This reaction has also been carried out with 77Se in order to obtain labeled ebselen.

Drug Information Express,Drug R&D,Chemical Database,Patent Search.
Copyright © 2006-2026 Drug Future. All rights reserved.Contact Us