【药物名称】Ambamustine hydrochloride, PTT-119
化学结构式(Chemical Structure):
参考文献No.61938
标题:PTT-119
作者:Casta馿r, J.; Serradell, M.N.
来源:Drugs Fut 1984,9(10),753
合成路线图解说明:

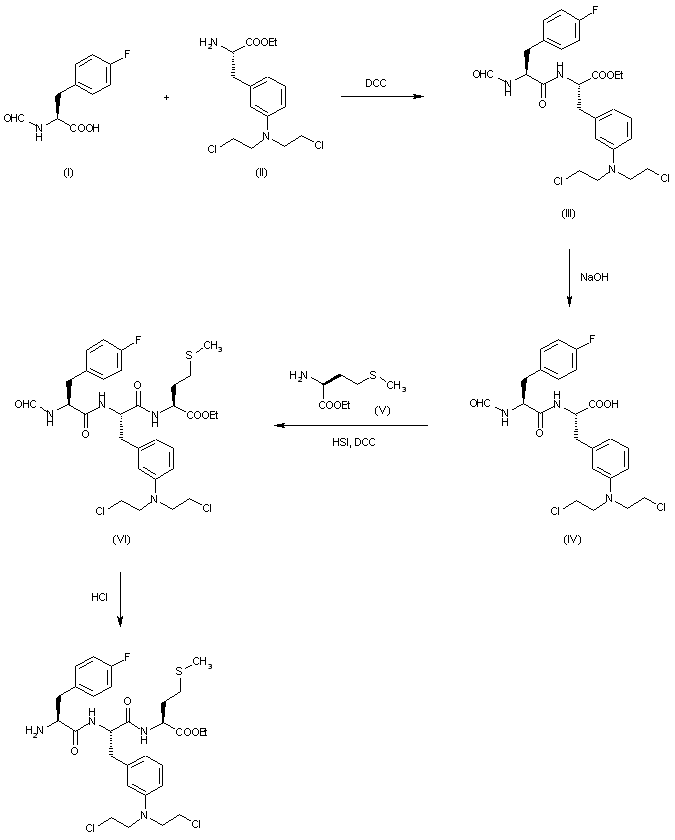
The condensation of N-formyl-4-fluorophenylalanine (I) with 3-[bis(2-chloroethyl)amino]phenylalanine ethyl ester (II) by means of dicyclohexylcarbodiimide in THF gives N-formyl-4-fluoro-L-phenylalanyl-3-[bis(2-chloroethyl)amino]-L-phenylalanine ethyl ester (III), which is saponified with NaOH in DMF water yielding the free acid (IV). The condensation of (IV) with L-methionine ethyl ester (V) by means of N-hydroxysuccinimide and dicyclohexylcarbodiimide in DMF affords N-formyl-4-fluoro-L-phenylalanyl-3-[bis(2-chloroethyl)amino]phenylalanyl-L-methionine ethyl ester (VI), which is finally deprotected by elimination of the formyl group in ethanolic HCl.

参考文献No.701173
标题:Compounds of dichlorodiethylaminophenylalanine with anti-tumor activity
作者:De Barbieri, A.
来源:EP 0056565; ES 8206449; IT 1134503; JP 57120559; US 4428875
合成路线图解说明:

The condensation of N-formyl-4-fluorophenylalanine (I) with 3-[bis(2-chloroethyl)amino]phenylalanine ethyl ester (II) by means of dicyclohexylcarbodiimide in THF gives N-formyl-4-fluoro-L-phenylalanyl-3-[bis(2-chloroethyl)amino]-L-phenylalanine ethyl ester (III), which is saponified with NaOH in DMF water yielding the free acid (IV). The condensation of (IV) with L-methionine ethyl ester (V) by means of N-hydroxysuccinimide and dicyclohexylcarbodiimide in DMF affords N-formyl-4-fluoro-L-phenylalanyl-3-[bis(2-chloroethyl)amino]phenylalanyl-L-methionine ethyl ester (VI), which is finally deprotected by elimination of the formyl group in ethanolic HCl.

参考文献No.800302
标题:Synthesis, acute toxicity and chemotherapeutic anti-cancer activities of a new tripeptidic mustard
作者:De Barbieri, A.; et al.
来源:Farm Sci Ed 1983,38(4),205-218
合成路线图解说明:

The condensation of N-formyl-4-fluorophenylalanine (I) with 3-[bis(2-chloroethyl)amino]phenylalanine ethyl ester (II) by means of dicyclohexylcarbodiimide in THF gives N-formyl-4-fluoro-L-phenylalanyl-3-[bis(2-chloroethyl)amino]-L-phenylalanine ethyl ester (III), which is saponified with NaOH in DMF water yielding the free acid (IV). The condensation of (IV) with L-methionine ethyl ester (V) by means of N-hydroxysuccinimide and dicyclohexylcarbodiimide in DMF affords N-formyl-4-fluoro-L-phenylalanyl-3-[bis(2-chloroethyl)amino]phenylalanyl-L-methionine ethyl ester (VI), which is finally deprotected by elimination of the formyl group in ethanolic HCl.

Drug Information Express,Drug R&D,Chemical Database,Patent Search.
Copyright © 2006-2026 Drug Future. All rights reserved.Contact Us